Für einen individuellen Ausdruck passen Sie bitte die
Einstellungen in der Druckvorschau Ihres Browsers an.
Regelwerk, EU 2020, Immissionsschutz - EU Bund / Gefahrgut/Transport - EU Bund

Durchführungsbeschluss (EU) 2020/728 der Kommission vom 29. Mai 2020 über die Genehmigung der in 12-Volt-Motorgeneratoren für bestimmte Personenkraftwagen und leichte Nutzfahrzeuge verwendeten effizienten Generatorfunktion als innovative Technologie gemäß der Verordnung (EU) 2019/631 des Europäischen Parlaments und des Rates

(Text von Bedeutung für den EWR)

(ABl. L 170 vom 02.06.2020 S. 21;
Beschl. (EU) 2020/1806 - ABl. L 402 vom 01.12.2020 S. 91aufgehoben)



aufgehoben/ersetzt gem. Art. 5 des Beschl.'es (EU) 2020/1806

s.a.: Liste - zur Festsetzung/Genehmigung ... gem. der VO (EU) 2019/631

Die Europäische Kommission -

gestützt auf den Vertrag über die Arbeitsweise der Europäischen Union,

gestützt auf die Verordnung (EU) 2019/631 des Europäischen Parlaments und des Rates vom 17. April 2019 zur Festsetzung von CO2-Emissionsnormen für neue Personenkraftwagen und für neue leichte Nutzfahrzeuge und zur Aufhebung der Verordnungen (EG) Nr. 443/2009 und (EU) Nr. 510/2011 1, insbesondere auf Artikel 11 Absatz 4,

in Erwägung nachstehender Gründe:

(1) Die Hersteller Bayerische Motoren Werke AG, Daimler AG, FCa Italy S.p.A, Honda Motor Europe Ltd, Hyundai Motor Europe Technical center GmbH, Jaguar Land Rover LTD, Automobile Citroen, Automobile Peugeot, PSa Automobiles SA, Renault, SEG Automotive Germany GmbH, Volkswagen AG und Volkswagen AG Nutzfahrzeuge sowie der Zulieferer Valeo Electrification Systems reichten am 20. September 2019 einen gemeinsamen Antrag gemäß Artikel 12a der Durchführungsverordnung (EU) Nr. 725/2011 der Kommission 2 auf Änderung des Durchführungsbeschlusses (EU) 2017/785 der Kommission 3 ein, um die Genehmigung der innovativen Technologie auf ihre Verwendung in bestimmten nicht extern aufladbaren Hybridelektrofahrzeugen (Not offvehicle charging hybrid electric vehicle, NOVC-HEV) der Klasse M1 und in Personenkraftwagen, die mit bestimmten alternativen Kraftstoffen betrieben werden können, auszuweiten.

(2) Die Hersteller Daimler AG, FCa Italy S.p.A, Hyundai Motor Europe Technical center GmbH, Jaguar Land Rover LTD, Mitsubishi Electric Corporation, Opel Automobile GmbH-PSA, Automobile Citroen, Automobile Peugeot, PSa Automobiles SA, Renault, SEG Automotive Germany GmbH, Volkswagen AG, Volkswagen AG Nutzfahrzeuge sowie der Zulieferer Valeo Electrification Systems reichten am 1. Oktober 2019 einen gemeinsamen Antrag gemäß Artikel 11 der Verordnung (EU) 2019/631 auf Genehmigung der effizienten Generatorfunktion in 12-Volt Motorgeneratoren als innovative Technologie zur Verwendung in bestimmten leichten Nutzfahrzeugen, einschließlich bestimmter NOVC-HEV und leichter Nutzfahrzeuge, die mit bestimmten alternativen Kraftstoffen betrieben werden können, ein.

(3) Ein 12-Volt-Motorgenerator kann entweder als Elektromotor zur Umwandlung elektrischer Energie in mechanische Energie oder als Standardgenerator zur Umwandlung mechanischer Energie in elektrische Energie betrieben werden. Die Technologie, auf die sich der Änderungsantrag und der Genehmigungsantrag beziehen, ist als eine effiziente Generatorfunktion des 12-Volt-Motorgenerators definiert.

(4) Da sich der Änderungsantrag und der Genehmigungsantrag auf dieselbe innovative Technologie beziehen und für ihre Verwendung in den betreffenden Fahrzeugkategorien dieselben Bedingungen gelten, sollten sowohl der Änderungsantrag als auch der Genehmigungsantrag in einem einzigen Beschluss behandelt werden.

(5) Der Änderungsantrag und der Genehmigungsantrag wurden gemäß Artikel 11 der Verordnung (EU) 2019/631, der Durchführungsverordnung (EU) Nr. 725/2011 und der Durchführungsverordnung (EU) Nr. 427/2014 der Kommission 4 sowie dem technischen Leitfaden für die Vorbereitung von Anträgen auf Genehmigung innovativer Technologien gemäß der Verordnung (EG) Nr. 443/2009 des Europäischen Parlaments und des Rates 5 (Fassung vom Juli 2018) 6 bewertet. Beide Anträge erfüllten die formalen Anforderungen; im Einklang mit Artikel 11 Absatz 3 der Verordnung (EU) 2019/631 war ihnen ein Prüfbericht einer unabhängigen und zertifizierten Stelle beigefügt.

(6) Die effiziente Generatorfunktion eines 12-Volt-Motorgenerators ist bereits mit dem Durchführungsbeschluss (EU) 2017/785 zur Verwendung in Personenkraftwagen mit konventionellem Verbrennungsmotor als innovative Technologie genehmigt worden, die CO2-Emissionen auf eine Weise verringern kann, die von den Messungen im Rahmen der Emissionsprüfung des neuen Europäischen Fahrzyklus (NEFZ) gemäß der Verordnung (EG) Nr. 692/2008 der Kommission 7 nur zum Teil erfasst wird. Die Bewertung zeigt, dass die genehmigte Ökoinnovation unter denselben Bedingungen auch für andere Fahrzeugkategorien die CO2-Emissionen verringern kann.

(7) Genauer gesagt haben die Antragsteller nachgewiesen, dass die effiziente Generatorfunktion eines 12-Volt-Motorgenerators geeignet ist, die CO2-Emissionen von leichten Nutzfahrzeugen mit konventionellem Verbrennungsmotor in gleicher Weise zu verringern wie bei Personenkraftwagen mit demselben Antrieb.

(8) In Bezug auf NOVC-HEV der Klassen M1 und N1, für die gemäß Anhang 8 Nummer 5.3.2 der UN/ECE-Regelung Nr. 101 8 unkorrigierte Messwerte für den Kraftstoffverbrauch und die CO2-Emissionen verwendet werden können, sollten diese Fahrzeuge für die Zwecke dieses Beschlusses als Fahrzeugen mit konventionellem Verbrennungsmotor der Klassen M1 und N1 gleichwertig betrachtet werden.

(9) Die Antragsteller haben nachgewiesen, dass die im Durchführungsbeschluss (EU) 2017/785 festgelegte Prüfmethode zur Prüfung der durch Nutzung der effizienten Generatorfunktion von 12-Volt-Motorgeneratoren erzielten CO2-Einsparungen in Personenkraftwagen mit konventionellem Verbrennungsmotor geeignet ist, solche Einsparungen durch den Einsatz der Technologie in leichten Nutzfahrzeugen sowie in bestimmten NOVC-HEV der Klassen M1 und N1 zu ermitteln.

(10) Die Antragsteller haben beantragt, dass aufgrund des zunehmenden Anteils von Personenkraftwagen und leichten Nutzfahrzeugen, die mit Flüssiggas (LPG), komprimiertem Erdgas (CNG) oder Bioethanol (E85) betrieben werden können, auch solche Fahrzeuge in den Anwendungsbereich dieses Beschlusses einbezogen und in der Folge einige Faktoren in der Prüfmethode entsprechend angepasst werden.

(11) Angesichts der begrenzten Verfügbarkeit von E85 auf dem Unionsmarkt insgesamt ist es jedoch nicht angezeigt, diesen Kraftstoff für die Zwecke der Prüfmethode von Ottokraftstoff zu unterscheiden.

(12) In Bezug auf die Aufnahme eines Einfahrverfahrens für den Motorgenerator in die Prüfmethode wird in dem Antrag im Einzelnen nicht hinreichend genau dargelegt, wie diese Einfahrverfahren durchzuführen und wie die Auswirkungen des Einfahrens zu berücksichtigen sind. Darüber hinaus sieht die im Durchführungsbeschluss (EU) 2017/785 festgelegte Prüfmethode bereits vor, dass solche Auswirkungen gegebenenfalls dadurch berücksichtigt werden können, dass der Wirkungsgrad der Generatorfunktion des Motorgenerators mindestens fünfmal gemessen werden muss. Da der Wirkungsgrad der Generatorfunktion des Motorgenerators auf der Grundlage des Durchschnitts der Messergebnisse bestimmt wird, können etwaige positive oder negative Auswirkungen des Einfahrens bei der endgültigen Bestimmung des Wirkungsgrads angemessen berücksichtigt werden, erforderlichenfalls, indem mehr Messungen durchgeführt werden. Vor diesem Hintergrund ist es nicht angemessen, die Prüfmethode, wie in den Anträgen vorgeschlagen wird, um ein zusätzliches spezielles Einfahrverfahren zu ergänzen.

(13) In Anbetracht der vorstehenden Erwägungen sollte die im Durchführungsbeschluss (EU) 2017/785 vorgesehene Prüfmethode unter Hinzufügung einiger kraftstoffspezifischer Faktoren ebenfalls als geeignet angesehen werden, um die CO2-Einsparungen zu ermitteln, die durch die innovative Technologie in Fahrzeugen mit Verbrennungsmotor der Klasse N1, in NOVC-HEV der Klassen M1 und N1 sowie in Fahrzeugen, die mit bestimmten alternativen Kraftstoffen betrieben werden können, erzielt werden.

(14) Die Hersteller sollten die Möglichkeit haben, bei einer Typgenehmigungsbehörde die Zertifizierung von CO2-Einsparungen durch den Einsatz innovativer Technologie, die die in diesem Beschluss festgelegten Bedingungen erfüllt, zu beantragen. Zu diesem Zweck sollten die Hersteller sicherstellen, dass dem Zertifizierungsantrag ein Prüfbericht einer unabhängigen und zertifizierten Stelle beigefügt ist, in dem bestätigt wird, dass die innovative Technologie den in diesem Beschluss festgelegten Bedingungen entspricht und dass die Einsparungen nach der in diesem Beschluss dargelegten Prüfmethode ermittelt wurden.

(15) Um den breiteren Einsatz der innovativen Technologie in neuen Fahrzeugen zu erleichtern, sollte ein Hersteller außerdem die Möglichkeit haben, die Zertifizierung der CO2-Einsparungen der in verschiedenen 12-Volt-Motorgeneratoren verwendeten effizienten Generatorfunktionen in einem einzigen Zertifizierungsantrag zu beantragen. Es empfiehlt sich jedoch sicherzustellen, dass, wenn von dieser Möglichkeit Gebrauch gemacht wird, automatisch Anreize dafür gegeben werden, dass nur die Motorgeneratoren mit dem höchsten Wirkungsgrad zum Einsatz kommen.

(16) Es obliegt der Typgenehmigungsbehörde, gründlich zu überprüfen, ob die Bedingungen für die Zertifizierung der CO2-Einsparungen durch den Einsatz einer innovativen Technologie gemäß diesem Beschluss erfüllt sind. Wird die Zertifizierung erteilt, sollte die zuständige Typgenehmigungsbehörde sicherstellen, dass alle für die Zertifizierung berücksichtigten Elemente in einem Prüfbericht festgehalten und zusammen mit dem Prüfbericht der unabhängigen Stelle aufbewahrt werden und dass diese Informationen der Kommission auf Anfrage zur Verfügung gestellt werden.

(17) Für den Zweck der Bestimmung des allgemeinen Ökoinnovationscodes, der in den betreffenden Typgenehmigungsunterlagen gemäß den Anhängen I, VIII und IX der Richtlinie 2007/46/EG des Europäischen Parlaments und des Rates 9 zu verwenden ist, muss der innovativen Technologie ein individueller Code zugewiesen werden.

(18) Ab 2021 muss die Einhaltung der Zielvorgaben für die spezifischen CO2-Emissionen durch die Hersteller auf der Grundlage der CO2-Emissionen festgestellt werden, die nach dem in der Verordnung (EU) 2017/1151 der Kommission 10 festgelegten weltweit harmonisierten Prüfverfahren für Personenkraftwagen und leichte Nutzfahrzeuge (WLTP) ermittelt werden. CO2-Einsparungen durch die unter Bezugnahme auf diesen Beschluss zertifizierte innovative Technologie können daher nur für das Kalenderjahr 2020 bei der Berechnung der durchschnittlichen spezifischen CO2-Emissionen der Hersteller berücksichtigt werden

- hat folgenden Beschluss erlassen:

Artikel 1 Innovative Technologie

Sofern die folgenden Bedingungen erfüllt werden, wird die in einem 12-Volt-Motorgenerator verwendete effiziente Generatorfunktion gemäß dem Durchführungsbeschluss (EU) 2017/785 als innovative Technologie im Sinne von Artikel 11 der Verordnung (EU) 2019/631 genehmigt, wobei berücksichtigt wird, dass sie nur zum Teil von dem Standardprüfverfahren gemäß der Verordnung (EG) Nr. 692/2008 erfasst wird:

  1. Die innovative Technologie wird in leichte Nutzfahrzeuge (N1) mit Verbrennungsmotor, die mit Ottokraftstoff, Dieselkraftstoff, Flüssiggas (LPG), komprimiertem Erdgas (CNG) oder Bioethanol (E85) betrieben werden, oder in nicht extern aufladbare Hybridelektrofahrzeuge (NOVC-HEV) der Klassen M1 oder N1, die Anhang 8 Absatz 5.3.2 Nummer 3 der Regelung Nr. 101 der Wirtschaftskommission der Vereinten Nationen für Europa entsprechen, eingebaut;
  2. der Wirkungsgrad der Generatorfunktion, der nach der im Anhang beschriebenen Methode ermittelt wird, beträgt mindestens:
    1. 73,8 % bei mit Ottokraftstoff oder E85 betriebenen Fahrzeugen ohne Turbolader;
    2. 73,4 % bei mit Ottokraftstoff oder E85 betriebenem Fahrzeugen mit Turbolader;
    3. 74,2 % bei mit Dieselkraftstoff betriebenen Fahrzeugen;
    4. 74,6 % bei mit Flüssiggas betriebenen Fahrzeugen ohne Turbolader;
    5. 74,1 % bei mit Flüssiggas betriebenen Fahrzeugen mit Turbolader;
    6. 76,3 % bei mit komprimiertem Erdgas betriebenen Fahrzeugen ohne Turbolader;
    7. 75,7 % bei mit komprimiertem Erdgas betriebenen Fahrzeugen mit Turbolader.

Artikel 2 Vergleichstechnologie

Als Vergleichstechnologie dient ein Generator mit einer Masse von maximal 7 kg und einem Wirkungsgrad von 67 %.

Artikel 3 Antrag auf Zertifizierung von CO2-Einsparungen

(1) Ein Hersteller kann bei einer Typgenehmigungsbehörde unter Bezugnahme auf diesen Beschluss die Zertifizierung der CO2-Einsparungen beantragen, die durch den Einsatz der gemäß Artikel 1 genehmigten Technologie (im Folgenden "die innovative Technologie") in einem oder mehreren 12-Volt-Motorgeneratoren erzielt werden.

(2) Der Hersteller stellt sicher, dass dem Zertifizierungsantrag ein Prüfbericht einer unabhängigen und zertifizierten Stelle beigefügt ist, in dem bestätigt wird, dass die in Artikel 1 genannten Bedingungen erfüllt sind.

(3) Werden Einsparungen gemäß Artikel 3 zertifiziert, so stellt der Hersteller sicher, dass die zertifizierten CO2-Einsparungen und der in Artikel 5 Absatz 1 genannte Ökoinnovationscode in die Übereinstimmungsbescheinigung der betreffenden Fahrzeuge eingetragen werden.

Artikel 4 Zertifizierung der CO2-Einsparungen

(1) Die Typgenehmigungsbehörde stellt sicher, dass die durch den Einsatz der innovativen Technologie erzielten CO2-Einsparungen nach der im Anhang beschriebenen Methode ermittelt wurden.

(2) Beantragt ein Hersteller für eine Fahrzeugversion die Zertifizierung der CO2-Einsparungen durch den Einsatz der innovativen Technologie in mehr als einem 12-Volt-Motorgenerator, so ermittelt die Typgenehmigungsbehörde, welcher der geprüften 12-Volt-Motorgeneratoren die geringsten CO2-Einsparungen erzielt. Dieser Wert ist für den Zweck von Absatz 4 heranzuziehen.

(3) Wird die innovative Technologie in ein Fahrzeug mit Zweistoff- oder Flexfuel-Betrieb eingebaut, so erfasst die Genehmigungsbehörde die CO2-Einsparungen wie folgt:

  1. bei Fahrzeugen mit Zweistoffbetrieb, die mit Ottokraftstoffen und gasförmigen Kraftstoffen betrieben werden: den CO2-Einsparwert in Bezug auf LPG- oder CNG-Kraftstoffe;
  2. bei Fahrzeugen mit Flexfuel-Betrieb, die mit Ottokraftstoffen und E85 betrieben werden: den CO2-Einsparwert in Bezug auf Ottokraftstoff.

(4) Die Typgenehmigungsbehörde trägt die gemäß den Absätzen 1 und 2 ermittelten zertifizierten CO2-Einsparungen und den in Artikel 5 Absatz 1 genannten Ökoinnovationscode in die einschlägigen Typgenehmigungsunterlagen ein.

(5) Die Typgenehmigungsbehörde hält alle bei der Zertifizierung berücksichtigten Elemente in einem Prüfbericht fest und bewahrt diesen Prüfbericht zusammen mit dem in Artikel 3 Absatz 2 genannten Prüfbericht auf und stellt der Kommission diese Informationen auf Anfrage zur Verfügung.

(6) Die Typgenehmigungsbehörde zertifiziert CO2-Einsparungen nur, wenn sie feststellt, dass die innovative Technologie die in Artikel 1 genannten Bedingungen erfüllt, und wenn die erzielten CO2-Einsparungen mindestens 1 g CO2/km betragen, wie dies in Artikel 9 Absatz 1 Buchstabe a der Durchführungsverordnung (EU) Nr. 725/2011 für Personenkraftwagen bzw. in Artikel 9 Absatz 1 Buchstabe a der Durchführungsverordnung (EU) Nr. 427/2014 für leichte Nutzfahrzeuge festgelegt ist.

Artikel 5 Ökoinnovationscode

(1) Der mit diesem Beschluss genehmigten innovativen Technologie wird der Ökoinnovationscode 30 zugewiesen.

(2) Die mit Bezugnahme auf diesen Ökoinnovationscode zertifizierten CO2-Einsparungen können nur für das Kalenderjahr 2020 bei der Berechnung der durchschnittlichen spezifischen Emissionen der Hersteller berücksichtigt werden.

Artikel 6 Inkrafttreten

Dieser Beschluss tritt am zwanzigsten Tag nach seiner Veröffentlichung imAmtsblatt der Europäischen Union in Kraft.

Brüssel, den 29. Mai 2020

1) ABl. L 111 vom 25.04.2019 S. 13.

2) Durchführungsverordnung (EU) Nr. 725/2011 der Kommission vom 25. Juli 2011 zur Einführung eines Verfahrens zur Genehmigung und Zertifizierung innovativer Technologien zur Verringerung der CO2-Emissionen von Personenkraftwagen nach der Verordnung (EG) Nr. 443/2009 des Europäischen Parlaments und des Rates (ABl. L 194 vom 26.07.2011 S. 19).

3) Durchführungsbeschluss (EU) 2017/785 der Kommission vom 5. Mai 2017 über die Genehmigung von effizienten 12-Volt-Motorgeneratoren zur Verwendung in Personenkraftwagen mit konventionellem Verbrennungsmotorantrieb als innovative Technologie zur Verringerung der CO2-Emissionen von Personenkraftwagen gemäß der Verordnung (EG) Nr. 443/2009 des Europäischen Parlaments und des Rates (ABl. L 118 vom 06.05.2017 S. 20).

4) Durchführungsverordnung (EU) Nr. 427/2014 der Kommission vom 25. April 2014 zur Einführung eines Verfahrens zur Genehmigung und Zertifizierung innovativer Technologien zur Verringerung der CO2-Emissionen von leichten Nutzfahrzeugen nach der Verordnung (EU) Nr. 510/2011 des Europäischen Parlaments und des Rates (ABl. L 125 vom 26.04.2014 S. 57).

5) Verordnung (EG) Nr. 443/2009 des Europäischen Parlaments und des Rates vom 23. April 2009 zur Festsetzung von Emissionsnormen für neue Personenkraftwagen im Rahmen des Gesamtkonzepts der Gemeinschaft zur Verringerung der CO2-Emissionen von Personenkraftwagen und leichten Nutzfahrzeugen (ABl. L 140 vom 05.06.2009 S. 1).

6) https://circabc.europa.eu/w/browse/f3927eae-29f8-4950-b3b3-d2e700598b52 (in englischer Sprache).

7) Verordnung (EG) Nr. 692/2008 der Kommission vom 18. Juli 2008 zur Durchführung und Änderung der Verordnung (EG) Nr. 715/2007 des Europäischen Parlaments und des Rates über die Typgenehmigung von Kraftfahrzeugen hinsichtlich der Emissionen von leichten Personenkraftwagen und Nutzfahrzeugen (Euro 5 und Euro 6) und über den Zugang zu Reparatur- und Wartungsinformationen für Fahrzeuge (ABl. L 199 vom 28.07.2008 S. 1).

8) Regelung Nr. 101 der Wirtschaftskommission der Vereinten Nationen für Europa (UN/ECE) - Einheitliche Bedingungen für die Genehmigung der Personenkraftwagen, die nur mit einem Verbrennungsmotor oder mit Hybrid-Elektro-Antrieb betrieben werden, hinsichtlich der Messung der Kohlendioxidemission und des Kraftstoffverbrauchs und/oder der Messung des Stromverbrauchs und der elektrischen Reichweite sowie der nur mit Elektroantrieb betriebenen Fahrzeuge der Klassen M1 und N1 hinsichtlich der Messung des Stromverbrauchs und der elektrischen Reichweite (ABl. L 138 vom 26.05.2012 S. 1).

9) Richtlinie 2007/46/EG des Europäischen Parlaments und des Rates vom 5. September 2007 zur Schaffung eines Rahmens für die Genehmigung von Kraftfahrzeugen und Kraftfahrzeuganhängern sowie von Systemen, Bauteilen und selbstständigen technischen Einheiten für diese Fahrzeuge (Rahmenrichtlinie) (ABl. L 263 vom 09.10.2007 S. 1).

10) Verordnung (EU) 2017/1151 der Kommission vom 1. Juni 2017 zur Ergänzung der Verordnung (EG) Nr. 715/2007 des Europäischen Parlaments und des Rates über die Typgenehmigung von Kraftfahrzeugen hinsichtlich der Emissionen von leichten Personenkraftwagen und Nutzfahrzeugen (Euro 5 und Euro 6) und über den Zugang zu Fahrzeugreparatur- und -wartungsinformationen, zur Änderung der Richtlinie 2007/46/EG des Europäischen Parlaments und des Rates, der Verordnung (EG) Nr. 692/2008 der Kommission sowie der Verordnung (EU) Nr. 1230/2012 der Kommission und zur Aufhebung der Verordnung (EG) Nr. 692/2008 der Kommission (ABl. L 175 vom 07.07.2017 S. 1).

.

Methode zur Ermittlung der durch Nutzung der effizienten Generatorfunktion von 12-Volt-Motorgeneratoren in bestimmten Personenkraftwagen und leichten Nutzfahrzeugen erzielten CO2-Einsparungen Anhang

1. Einführung

Um zu ermitteln, welche CO2-Emissionseinsparungen auf die effiziente Generatorfunktion eines 12-Volt-Motorgenerators (im Folgenden die "innovative Technologie") zur Nutzung in bestimmten Personenkraftwagen (M1) und leichten Nutzfahrzeugen (N1), die die in Artikel 1 festgelegten Bedingungen erfüllen, zurückgeführt werden können, ist Folgendes zu bestimmen:

  1. die Prüfbedingungen;
  2. die Prüfgeräte,
  3. die Bestimmung der Spitzenleistung,
  4. die Berechnung der CO2-Einsparungen;
  5. die Berechnung der statistischen Marge der CO2-Einsparungen.

2. Symbole, Parameter und Einheiten

Symbole

- CO2-Einsparungen [g CO2/km]
CO2 - Kohlendioxid (CO2)
CF - Umrechnungsfaktor wie in Tabelle 3 definiert
h - Frequenz wie in Tabelle 1 definiert
I - Stromstärke, bei der die Messung durchzuführen ist [A]
m - Zahl der Messungen der Stichprobe
M - Drehmoment [Nm]
n - Drehzahl [min-1] wie in Tabelle 1 definiert
P - Leistung [W]
- Standardabweichung des Wirkungsgrads der Generatorfunktion des 12-Volt-Motorgenerators (im Folgenden der "Wirkungsgrad des Motorgenerators") [%]
- Standardabweichung des mittleren Wirkungsgrads des Motorgenerators [%]
- Standardabweichung der CO2-Gesamteinsparungen [g CO2/km]
U - Prüfspannung, bei der die Messung durchzuführen ist [V]
v - Durchschnittliche Fahrgeschwindigkeit des neuen europäischen Fahrzyklus (NEFZ) [km/h]
Vpe - Tatsächlicher Energieverbrauch wie in Tabelle 2 definiert
- Sensitivität der berechneten CO2-Einsparungen bezogen auf den Wirkungsgrad des Motorgenerators
Δ - Differenz
ηB - Wirkungsgrad des Vergleichsgenerators [%]
ηMG - Wirkungsgrad des Motorgenerators [%]
- Mittlerer Wirkungsgrad des Motorgenerators am Betriebspunkt i [%]

Tiefgestellte Symbole

i bezieht sich auf den Betriebspunkt
j bezieht sich auf die Messung der Stichprobe
MG - Motorgenerator
m - mechanisch
RW - reale Bedingungen
TA - Typgenehmigungsbedingungen
B - Vergleichswert

3. Bestimmung des Wirkungsgrads

Der Wirkungsgrad des Motorgenerators wird nach ISO 8854:2012 bestimmt; eine Ausnahme stellen die in diesem Abschnitt dargestellten Elemente dar.

Gegenüber der Typgenehmigungsbehörde ist nachzuweisen, dass die Drehzahlbereiche des 12-Volt-Motorgenerators mit denjenigen in Tabelle 1 übereinstimmen. Die Messungen sind an unterschiedlichen Betriebspunkten, wie in Tabelle 1 festgelegt, vorzunehmen. Die Stromstärke des Motorgenerators ist als die halbe Nennstromstärke für alle Betriebspunkte zu definieren. Für jede Drehzahl müssen Spannung und Ausgangsstromstärke des Motorgenerators konstant bei 14,3 V gehalten werden.

Tabelle 1

Betriebspunkt
i
Haltezeit
[s]
Drehzahl
ni [min-1]
Frequenz
hi
1 1.200 1.800 0,25
2 1.200 3.000 0,40
3 600 6.000 0,25
4 300 10.000 0,10

Der Wirkungsgrad an jedem Betriebspunkt wird nach folgender Formel 1 berechnet.

Formel 1

Alle Messungen des Wirkungsgrads sind mindestens fünf 5 Mal hintereinander auszuführen. Zu berechnen ist der Durchschnittswert der Messungen an jedem Betriebspunkt.

Der Wirkungsgrad des Motorgenerators (ηMG) wird nach Formel 2 berechnet.

Formel 2

Der Motorgenerator führt zu einer Einsparung bei der mechanischen Leistung unter realen Fahrbedingungen (ΔPmRW) und unter Typgenehmigungsbedingungen (ΔPmTA). Die Differenz zwischen diesen beiden Werten (ΔPm) wird nach Formel 3 berechnet.

Formel 3

ΔPm = ΔPmRW - ΔPmTA

Dabei wird ΔPmRW nach Formel 4 und ΔPmTA nach Formel 5 berechnet:

Formel 4

Formel 5

Dabei sind

PRW : der Leistungsbedarf unter "realen" Fahrbedingungen [W]: 750 W
PTA : der Leistungsbedarf unter Typgenehmigungsbedingungen [W]: 350 W
ηB : der Wirkungsgrad des Vergleichsgenerators [%]: 67 %

4. Berechnung der CO2-Einsparungen

Die CO2-Einsparungen der Generatorfunktion eines 12-Volt-Motorgenerators werden nach Formel 6 berechnet:

Formel 6

Dabei sind

v : die durchschnittliche Fahrgeschwindigkeit des NEFZ (km/h): 33,58 km/h
Vpe : der tatsächliche Energieverbrauch wie in Tabelle 2 definiert
CF : der Umrechnungsfaktor wie in Tabelle 3 definiert

Tabelle 2 Tatsächlicher Energieverbrauch

Motortyp Tatsächlicher Energieverbrauch (Vpe)
[1/kWh]
Ottokraftstoff/E85 0,264
Ottokraftstoff/E85 mit Turbolader 0,280
Dieselkraftstoff 0,220
LPG 0,342
LPG mit Turbolader 0,363
Tatsächlicher Energieverbrauch (Vpe)
[m3/kWh]
CNG (G20) 0,259
CNG (G20) mit Turbolader 0,275

Tabelle 3 Kraftstoffumrechnungsfaktor

Art des Kraftstoffs Umrechnungsfaktor (UF) [g CO2/l]
Ottokraftstoff/E85 2.330
Dieselkraftstoff 2.640
LPG 1.629
Umrechnungsfaktor (UF) [g CO2/m3]
CNG (G20) 1.795

5. Berechnung des statistischen Fehlers

Die statistischen Fehler bei den Ergebnissen der Prüfmethode aufgrund der Messungen werden quantifiziert. Für jeden Betriebspunkt wird die Standardabweichung nach Formel 7 berechnet.

Formel 7

Die Standardabweichung des Wertes des Wirkungsgrads des 12-Volt-Motorgenerator wird nach Formel 8 berechnet:

Formel 8

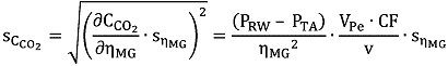
Die Standardabweichung des Wirkungsgrads des Motorgenerators führt zu einem Fehler bei den CO2-Einsparungen (. Der Fehler wird mit Formel 9 berechnet:

Formel 9

6. Statistische Signifikanz

Für jeden Typ, jede Variante und jede Version eines Fahrzeugs, das mit der innovativen Technologie ausgestattet ist, ist nachzuweisen, dass der nach Formel 9 berechnete Fehler bei den CO2-Einsparungen nicht größer ist als die Differenz zwischen den CO2-Gesamteinsparungen und dem Schwellenwert für die Mindesteinsparungen gemäß Artikel 9 Absatz 1 Buchstabe a der Durchführungsverordnungen (EU) Nr. 725/2011 und (EU) Nr. 427/2014 (vgl. Formel 10).

Formel 10

Dabei sind

MT : der Mindestschwellenwert [g CO2/km]
: die CO2-Gesamteinsparungen [g CO2/km]
: die Standardabweichung der CO2-Gesamteinsparungen [g CO2/km]
: der CO2-Korrektureffizient, der sich aus der positiven Massendifferenz (Δm) zwischen dem Motorgenerator und dem Vergleichsgenerator ergibt, berechnet entsprechend Tabelle 4.

Tabelle 4 CO2-Korrekturkoeffizient infolge der Extramasse

Art des Kraftstoffs CO2-Korrekturkoeffizient:
Ottokraftstoff/E85 0,0277 · Δm
Dieselkraftstoff 0,0383 · Δm
LPG 0,0251 · Δm
CNG 0,0209 · Δm

In dieser Tabelle ist Δm die Extramasse infolge des Einbaus des effizienten 12-Volt-Motorgenerators. Die Extramasse ist die positive Differenz zwischen der Masse des effizienten 12-Volt-Motorgenerators und der Masse des Vergleichsgenerators. Die Masse des Vergleichsgenerators beträgt 7 kg. Die Extramasse muss geprüft und in dem Prüfbericht, der der Typgenehmigungsbehörde zusammen mit dem Zertifizierungsantrag vorzulegen ist, bestätigt werden.

7. In Personenkraftwagen und leichte Nutzfahrzeuge einzubauender 12-Volt-Motorgenerator mit effizienter Generatorfunktion

Die Typgenehmigungsbehörde zertifiziert die CO2-Einsparungen anhand der Messungen am 12-Volt-Motor- und am Vergleichsgenerator unter Verwendung der in diesem Anhang festgelegten Prüfmethode. Liegen die CO2-Emissionseinsparungen unter der Schwelle gemäß Artikel 9 Absatz 1 Buchstabe a der Durchführungsverordnungen (EU) Nr. 725/2011 und (EU) Nr. 427/2014, ist Artikel 11 Absatz 2 Unterabsatz 2 dieser Verordnungen anwendbar.


ENDE

umwelt-online - Demo-Version


(Stand: 05.04.2021)

Alle vollständigen Texte in der aktuellen Fassung im Jahresabonnement
Nutzungsgebühr: ab 105.- € netto

(derzeit ca. 7200 Titel s.Übersicht - keine Unterteilung in Fachbereiche)

Preise & Bestellung

Die Zugangskennung wird kurzfristig übermittelt

? Fragen ?
Abonnentenzugang/Volltextversion