Für einen individuellen Ausdruck passen Sie bitte die
Einstellungen in der Druckvorschau Ihres Browsers an.
Regelwerk, EU 2010, Lebensmittel - EU Bund

Verordnung (EU) Nr. 206/2010 der Kommission vom 12. März 2010 zur Erstellung von Listen der Drittländer, Gebiete und Teile davon, aus denen das Verbringen bestimmter Tiere und bestimmten frischen Fleisches in die Europäische Union zulässig ist, und zur Festlegung der diesbezüglichen Veterinärbescheinigungen

(Text von Bedeutung für den EWR)

(ABl. Nr. L 73 vom 20.03.2010 S. 1, ber. L 146 S. 1;
VO (EU) 810/2010 - ABl. Nr. L 243 vom 16.09.2010 S. 16;
VO (EU) 144/2011 - ABl. Nr. L 44 vom 18.02.2011 S. 7, ber. L 49 S. 53;
VO (EU) 342/2011 - ABl. Nr. L 96 vom 09.04.2011 S. 10;
VO (EU) 801/2011 - ABl. Nr. L 205 vom 10.08.2011 S. 27;
VO (EU) 1112/2011 - ABl. Nr. L 287 vom 04.11.2011 S. 32;
VO (EU) 497/2012 - ABl. Nr. L 152 vom 13.06.2012 S. 1, ber. L 335 S. 55;
VO (EU) 546/2012 - ABl. Nr. L 165 vom 26.06.2012 S. 25;
VO (EU) 644/2012 - ABl. Nr. L 187 vom 17.07.2012 S. 18;
VO (EU) 1036/2012 - ABl. Nr. L 308 vom 08.11.2012 S. 13;
VO (EU) 1160/2012 - ABl. Nr. L 336 vom 08.12.2012 S. 9;
VO (EU) 71/2013 - ABl. Nr. L 26 vom 26.01.2013 S. 7;
VO (EU) 102/2013 - ABl. Nr. L 34 vom 05.02.2013 S. 4;
VO (EU) 191/2013 - ABl. Nr. L 62 vom 06.03.2013 S. 22;
VO (EU) 196/2013 - ABl. Nr. L 65 vom 08.03.2013 S. 13;
VO (EU) 482/2013 - ABl. Nr. L 139 vom 25.05.2013 S. 6;
VO (EU) 519/2013 - ABl. Nr. L 158 vom 10.06.2013 S. 74;
VO (EU) 556/2013 - ABl. Nr. L 164 vom 18.06.2013 S. 13;
VO (EU) 780/2013 - ABl. Nr. L 219 vom 15.08.2013 S. 1, ber. 2015 L 29 S. 16;
VO (EU) 854/2013 - ABl. Nr. L 237 vom 05.09.2013 S. 1;
VO (EU) 1044/2013 - ABl. Nr. L 284 vom 26.10.2013 S. 12;
VO (EU) 1218/2014 - ABl. Nr. L 329 vom 14.11.2014 S. 20;
VO (EU) 2015/604 - ABl. Nr. L 100 vom 17.04.2015 S. 60 Inkrafttreten Übergangsbestimmungen;
VO (EU) 2015/917 - ABl. Nr. L 149 vom 16.06.2015 S. 11 Inkrafttreten Gültig bis;
VO (EU) 2016/535 - ABl. Nr. L 89 vom 06.04.2016 S. 8 Inkrafttreten;
VO (EU) 2016/922 - ABl. Nr. L 154 vom 11.06.2016 S. 21 Inkrafttreten Übergangsbestimmungen;
VO (EU) 2016/1248 - ABl. Nr. L 204 vom 29.07.2016 S. 112 Inkrafttreten;
VO (EU) 2016/1832 - ABl. Nr. L 280 vom 18.10.2016 S. 13 Inkrafttreten Übergangsbestimmungen;
VO (EU) 2017/384 - ABl. Nr. L 59 vom 07.03.2017 S. 3 Inkrafttreten;
VO (EU) 2017/731 - ABl. Nr. L 108 vom 26.04.2017 S. 7 Inkrafttreten Gültig;
VO (EU) 2019/585 - ABl. LI 100 vom 11.04.2019 S. 1 Inkrafttreten Gültig A;
VO (EU) 2019/1162 - ABl. L 182 vom 08.07.2019 S. 1 Inkrafttreten A;
VO (EU) 2019/1762 - ABl. L 270 vom 24.10.2019 S. 75 Inkrafttreten Gültig;
VO (EU) 2019/2124 - ABl. L 321 vom 12.12.2019 S. 73 Inkrafttreten Gültig A;
VO (EU) 2020/386 - ABl. L 73 vom 10.03.2020 S. 1 Inkrafttreten;
VO (EU) 2020/692 - ABl. L 174 vom 03.06.2020 S. 379 * A;
VO (EU) 2020/2204 - ABl. L 438 vom 28.12.2020 S. 7 Inkrafttreten Gültig
aufgehoben)



aufgehoben/ersetzt gem. Art. 183 der VO (EU) 2020/692

Hebt Entsch. 2003/881/EG auf.

Die Europäische Kommission -

gestützt auf den Vertrag über die Arbeitsweise der Europäischen Union,

gestützt auf die Richtlinie 92/65/EWG des Rates vom 13. Juli 1992 über die tierseuchenrechtlichen Bedingungen für den Handel mit Tieren, Samen, Eizellen und Embryonen in der Gemeinschaft sowie für ihre Einfuhr in die Gemeinschaft, soweit sie diesbezüglich nicht den spezifischen Gemeinschaftsregelungen nach Anhang a Abschnitt I der Richtlinie 90/425/EWG unterliegen 1, insbesondere auf Artikel 17 Absatz 2 Buchstabe b, Artikel 17 Absatz 3 Buchstabe a, Artikel 17 Absatz 3 Buchstabe c Unterabsatz 1, Artikel 18 Absatz 1 vierter Gedankenstrich und Artikel 19,

gestützt auf die Richtlinie 2002/99/EG des Rates vom 16. Dezember 2002 zur Festlegung von tierseuchenrechtlichen Vorschriften für das Herstellen, die Verarbeitung, den Vertrieb und die Einfuhr von Lebensmitteln tierischen Ursprungs 2, insbesondere auf Artikel 8, Artikel 9 Absatz 2 Buchstabe b und Artikel 9 Absatz 4,

gestützt auf die Richtlinie 2004/68/EG des Rates vom 26. April 2004 zur Festlegung der Veterinärbedingungen für die Einfuhr und die Durchfuhr bestimmter lebender Huftiere in bzw. durch die Gemeinschaft, zur Änderung der Richtlinien 90/426/EWG und 92/65/EWG und zur Aufhebung der Richtlinie 72/462/EWG 3, insbesondere auf Artikel 3 Absatz 1 Unterabsätze 1 und 2, Artikel 6 Absatz 1 Unterabsatz 1, Artikel 7 Buchstabe e, Artikel 8, Artikel 10 Absatz 1 und Artikel 13 Absatz 1,

gestützt auf die Verordnung (EG) Nr. 852/2004 des Europäischen Parlaments und des Rates vom 29. April 2004 über Lebensmittelhygiene 4, insbesondere auf Artikel 12,

gestützt auf die Verordnung (EG) Nr. 853/2004 des Europäischen Parlaments und des Rates vom 29. April 2004 mit spezifischen Hygienevorschriften für Lebensmittel tierischen Ursprungs 5, insbesondere auf Artikel 9,

gestützt auf die Verordnung (EG) Nr. 854/2004 des Europäischen Parlaments und des Rates vom 29. April 2004 mit besonderen Verfahrensvorschriften für die amtliche Überwachung von zum menschlichen Verzehr bestimmten Erzeugnissen tierischen Ursprungs 6, insbesondere auf Artikel 11 Absatz 1 und Artikel 16,

gestützt auf die Verordnung (EG) Nr. 882/2004 des Europäischen Parlaments und des Rates vom 29. April 2004 über amtliche Kontrollen zur Überprüfung der Einhaltung des Lebensmittel- und Futtermittelrechts sowie der Bestimmungen über Tiergesundheit und Tierschutz 7, insbesondere auf Artikel 48 Absatz 1,

in Erwägung nachstehender Gründe:

(1) Die Richtlinie 72/462/EWG des Rates vom 12. Dezember 1972 zur Regelung tierseuchenrechtlicher und gesundheitlicher Fragen bei der Einfuhr von Rindern, Schweinen, Schafen und Ziegen, von frischem Fleisch oder von Fleischerzeugnissen aus Drittländern 8 sah die Erstellung einer Liste der Drittländer und der Teile von Drittländern vor, aus denen die Mitgliedstaaten die Einfuhr bestimmter lebender Tiere und frischen Fleisches von bestimmten Tieren zulassen.

(2) Dementsprechend wurde die Entscheidung 79/542/EWG des Rates vom 21. Dezember 1976 zur Festlegung einer Liste von Drittländern bzw. Teilen von Drittländern sowie der Tiergesundheits- und Hygienebedingungen und der Veterinärbescheinigungen für die Einfuhr von bestimmten lebenden Tieren und von frischem Fleisch dieser Tiere in die Gemeinschaft 9 erlassen. In der genannten Entscheidung sind die Veterinärbedingungen für die Einfuhr lebender Tiere, ausgenommen Equiden, sowie für die Einfuhr frischen Fleisches dieser Tiere, einschließlich Equiden, jedoch ausschließlich Fleischzubereitungen, in die Europäische Union festgelegt. Die Anhänge I und II der genannten Entscheidung enthalten Muster-Veterinärbescheinigungen sowie Listen der Drittländer und der Teile von Drittländern, aus denen bestimmte lebende Tiere und frisches Fleisch dieser Tiere in die Union eingeführt werden dürfen.

(3) Seit dem Erlass der genannten Entscheidung wurden in anderen Rechtsakten der Union zahlreiche neue Vorschriften zur Tiergesundheit und zur Gesundheit der Bevölkerung festgeschrieben, die einen neuen einschlägigen Rechtsrahmen bilden. Ferner wurde die Richtlinie 72/462/EWG durch die Richtlinie 2004/68/EG aufgehoben.

(4) Gemäß Artikel 20 der Richtlinie 2004/68/EG bleiben die Durchführungsbestimmungen zur Einfuhr im Rahmen von Entscheidungen, die gemäß der Richtlinie 72/462/EWG erlassen wurden (u. a. die Entscheidung 79/542/EWG), in Kraft, bis sie durch im neuen Rechtsrahmen erlassene Vorschriften ersetzt werden.

(5) Artikel 4 Absatz 3 der Richtlinie 2004/41/EG des Europäischen Parlaments und des Rates vom 21. April 2004 zur Aufhebung bestimmter Richtlinien über Lebensmittelhygiene und Hygienevorschriften für die Herstellung und das Inverkehrbringen von bestimmten, zum menschlichen Verzehr bestimmten Erzeugnissen tierischen Ursprungs sowie zur Änderung der Richtlinien 89/662/EWG und 92/118/EWG des Rates und der Entscheidung 95/408/EG des Rates 10 besagt, dass die auf der Grundlage der Richtlinie 72/462/EWG erlassenen Durchführungsbestimmungen nicht mehr gelten, sobald die erforderlichen Vorschriften auf der Grundlage der Verordnungen (EG) Nr. 852/2004, (EG) Nr. 853/2004, (EG) Nr. 854/2004 oder der Richtlinie 2002/99/EG erlassen wurden.

(6) Die Entscheidung 79/542/EWG wurde einige Male geändert; Einfuhrvorschriften auf der Grundlage des neuen Rechtsrahmens wurden bereits in die genannte Entscheidung aufgenommen. Aus Gründen der Klarheit und Transparenz sollten die in der Entscheidung 79/542/EWG vorgesehenen Maßnahmen in einem neuen Rechtsakt gefasst werden. Die vorliegende Verordnung enthält sämtliche Vorschriften der Entscheidung 79/542/EWG. Folglich bewirkt das Inkrafttreten der vorliegenden Verordnung, dass die Entscheidung 79/542/EWG ausläuft und nicht mehr gilt, bis sie ausdrücklich aufgehoben worden ist.

(7) In der Richtlinie 92/65/EWG sind die Veterinärvorschriften für den Handel mit lebenden Tieren, Samen, Eizellen und Embryonen in der Union sowie für ihre Einfuhr in die Union festgelegt, soweit sie nicht den einzelnen Rechtsakten der Union gemäß Anhang F der genannten Richtlinie unterliegen. Gemäß der genannten Richtlinie dürfen die betreffenden lebenden Tiere, Samen, Eizellen und Embryonen nur aus einem Drittland in die Union eingeführt werden, das in einer Liste aufscheint, die nach dem in der genannten Richtlinie vorgesehenen Verfahren verfasst wurde. Darüber hinaus ist für derartige lebende Tiere eine Veterinärbescheinigung entsprechend einem Muster mitzuführen, das nach dem in der Richtlinie vorgesehenen Verfahren erstellt wurde.

(8) Die Richtlinie 96/93/EG des Rates vom 17. Dezember 1996 über Bescheinigungen für Tiere und tierische Erzeugnisse 11 enthält die Bestimmungen, die bei der Ausstellung der aufgrund der Veterinärvorschriften erforderlichen Bescheinigungen einzuhalten sind und die Ausstellung irreführender und betrügerischer Bescheinigungen vermeiden sollen. Es ist angebracht sicherzustellen, dass die in Drittländern tätigen amtlichen Kontrolleure/Kontrolleurinnen und amtlichen Tierärzte/Tierärztinnen Vorschriften und Grundsätze anwenden, die denen der genannten Richtlinie zumindest gleichwertig sind. Einige in Anhang II der vorliegenden Verordnung aufgeführte Drittländer haben ausreichende Garantien dafür abgegeben, dass derartige Vorschriften und Grundsätze bestehen und durchgeführt bzw. umgesetzt werden. Daher ist es angebracht, das Verbringen bestimmter lebender Tiere aus diesen Drittländern in die Union zuzulassen, falls die Tiergesundheitslage in den einzelnen Ländern keine weiteren Einschränkungen erfordert.

(9) Die Richtlinie 2002/99/EG enthält die Veterinärvorschriften für Erzeugnisse tierischen Ursprungs und daraus hergestellte Lebensmittel, die aus Drittländern in die Union eingeführt werden. Gemäß der genannten Richtlinie sind Listen von Drittländern bzw. Teilen von Drittländern zu erstellen, aus denen bestimmte Erzeugnisse tierischen Ursprungs eingeführt werden dürfen; ferner müssen bei der Einfuhr bestimmte Vorschriften zu Veterinärbescheinigungen beachtet werden.

(10) In der Richtlinie 2004/68/EG sind die Tiergesundheitsvorschriften für die Einfuhr bestimmter lebender Huftiere in die Union und für ihre Durchfuhr durch die Union festgelegt. Die betreffenden lebenden Huftiere dürfen nur aus denjenigen Drittländern in die Union eingeführt und durch die Union durchgeführt werden, die in Listen aufgeführt sind, die nach dem in der Richtlinie vorgesehenen Verfahren erstellt wurden; ferner müssen bei der Einfuhr bestimmte Vorschriften zu Veterinärbescheinigungen eingehalten werden.

(11) Vorbehaltlich des Artikels 17 Absatz 2 letzter Unterabsatz der Richtlinie 92/65/EWG dürfen lebende Tiere und Erzeugnisse tierischen Ursprungs, für die die Richtlinien 92/65/EWG, 2002/99/EG und 2004/68/EG gelten, nur dann in die Union eingeführt bzw. durch die Union durchgeführt werden, wenn ihnen eine Veterinärbescheinigung beiliegt und wenn sie dem einschlägigen Unionsrecht entsprechen.

(12) Dementsprechend ist es angebracht, zum Zweck der Durchführung der Richtlinien 92/65/EWG, 2002/99/EG und 2004/68/EG in der vorliegenden Verordnung für bestimmte lebende Tiere und für frisches Fleisch bestimmter Tiere Listen von Drittländern, Gebieten und Teilen davon festzulegen sowie besondere Einfuhrbedingungen, einschließlich Muster-Veterinärbescheinigungen, vorzusehen.

(13) Im Interesse der Einheitlichkeit des Unionsrechts sollte die vorliegende Verordnung auch den Vorschriften bezüglich der Gesundheit der Bevölkerung Rechnung tragen, die in anderen Rechtsakten der Union enthalten sind, insbesondere in den Verordnungen (EG) Nr. 852/2004, (EG) Nr. 853/2004 und (EG) Nr. 854/2004, die Vorschriften über Lebensmittelhygiene, über die Hygiene von Lebensmitteln tierischen Ursprungs bzw. über deren amtliche Überwachung umfassen; zudem sollten die Richtlinie 96/23/EG des Rates vom 29. April 1996 über Kontrollmaßnahmen hinsichtlich bestimmter Stoffe und ihrer Rückstände in lebenden Tieren und tierischen Erzeugnissen 12 und die Verordnung (EG) Nr. 999/2001 des Europäischen Parlaments und des Rates vom 22. Mai 2001 mit Vorschriften zur Verhütung, Kontrolle und Tilgung bestimmter transmissibler spongiformer Enzephalopathien 13 Berücksichtigung finden.

(14) Die Verordnung (EG) Nr. 882/2004 enthält allgemeine Vorschriften zur Durchführung amtlicher Kontrollen von Lebensmitteln, Futtermitteln, Tiergesundheit und Tierschutz. Gemäß Artikel 48 der Verordnung ist die Kommission befugt, eine Liste von Drittländern zu erstellen, aus denen bestimmte Erzeugnisse in die Union eingeführt werden dürfen. Die Verordnung (EG) Nr. 854/2004 umfasst besondere Vorschriften für die amtliche Überwachung von Lebensmitteln tierischen Ursprungs, u. a. Vorschriften über die Erstellung von Listen der Drittländer, aus denen die Einfuhr von Erzeugnissen tierischen Ursprungs zulässig ist. Gemäß diesen Vorschriften können die betreffenden Listen mit anderen Listen kombiniert werden, die für die Zwecke der Gesundheit von Mensch und Tier erstellt werden.

(15) In den Muster-Veterinärbescheinigungen in den Anhängen der vorliegenden Verordnung sollte daher u. a. bescheinigt werden, dass die Anforderungen bezüglich der Gesundheit der Bevölkerung gemäß der Richtlinie 96/23/EG sowie gemäß den Verordnungen (EG) Nr. 999/2001, (EG) Nr. 852/2004, (EG) Nr. 853/2004 und (EG) Nr. 854/2004 erfüllt sind.

(16) In den Muster-Veterinärbescheinigungen in den Anhängen der vorliegenden Verordnung sollte ferner bescheinigt werden, dass die Anforderungen an den Tierschutz gemäß der Richtlinie 93/119/EWG des Rates vom 22. Dezember 1993 über den Schutz von Tieren zum Zeitpunkt der Schlachtung oder Tötung 14 sowie gemäß der Verordnung (EG) Nr. 1/2005 des Rates vom 22. Dezember 2004 über den Schutz von Tieren beim Transport und damit zusammenhängenden Vorgängen 15 erfüllt werden.

(17) Damit sichergestellt ist, dass die Gesundheit lebender Tiere bei der Beförderung aus dem Herkunftsdrittland in die Union im Rahmen des Verbringens nicht gefährdet wird, sollten bestimmte Vorschriften über die Beförderung lebender Tiere, u. a. Vorschriften zu Sammelstellen, festgelegt werden.

(18) Damit der Schutz der Tiergesundheit in der Union gewährleistet ist, sollten lebende Tiere unmittelbar zum Bestimmungsort in der Union befördert werden.

(19) Frisches Fleisch, das in die Union zum Zweck der Durchfuhr in ein anderes Drittland verbracht wird, birgt für die Gesundheit der Bevölkerung ein vernachlässigbares Risiko. Allerdings sollte derartiges Fleisch allen einschlägigen Tiergesundheitsanforderungen genügen. Demzufolge sollten besondere Vorschriften über die Durchfuhr frischen Fleisches und seine Lagerung vor der Durchfuhr festgelegt werden.

(20) Angesichts der geografischen Lage Kaliningrads, von der nur Lettland, Litauen und Polen betroffen sind, sollten für Sendungen, die auf dem Weg nach oder von Russland durch die Union durchgeführt werden, besondere Durchfuhrbedingungen festgelegt werden.

(21) Sendungen mit frischem Fleisch, ausgenommen Innereien und Hackfleisch/Faschiertes 16, von nicht domestizierten Nutztieren der Ordnung Artiodactyla, die in freier Wildbahn gefangen werden, sollten in die Union verbracht werden dürfen. Damit sich jedes mögliche Risiko eines derartigen Verbringens für die Tiergesundheit ausschließen lässt, ist es angebracht, dass derartige Tiere drei Monate lang getrennt von wildlebenden Tieren gehalten werden, bevor entsprechende Sendungen in die Union verbracht werden. Diesem Umstand sollte die Muster-Veterinärbescheinigung für derartige Sendungen (RUF) Rechnung tragen.

(22) In der Entscheidung 2003/881/EG der Kommission vom 11. Dezember 2003 über die Tiergesundheitsbedingungen und -bescheinigungen für die Einfuhr von Bienen (Apis mellifera und Bombus spp.) aus bestimmten Drittländern 17 sind die Veterinärbedingungen und Veterinärbescheinigungen für die Einfuhr von Bienen aus bestimmten Drittländern festgelegt. Zur Vereinfachung des Unionsrechts sollten die in der genannten Entscheidung vorgesehenen Maßnahmen in die vorliegende Verordnung aufgenommen werden. Folglich sollte die Entscheidung 2003/881/EG aufgehoben werden.

(23) Es ist angebracht, eine Übergangszeit festzusetzen, damit Mitgliedstaaten und Unternehmen die erforderlichen Maßnahmen treffen können, um der vorliegenden Verordnung nachzukommen.

(24) Die in dieser Verordnung vorgesehenen Maßnahmen entsprechen der Stellungnahme des Ständigen Ausschusses für die Lebensmittelkette und Tiergesundheit

- hat folgende Verordnung erlassen:

Kapitel I
Gegenstand, Anwendungsbereich und Definitionen

Artikel 1 Gegenstand und Anwendungsbereich

  1. In dieser Verordnung werden die Veterinärbescheinigungen festgelegt, die für das Verbringen von Sendungen mit folgenden lebenden Tieren bzw. mit folgendem frischem Fleisch in die Union erforderlich sind:
    1. Huftieren;
    2. den in Anhang IV Teil 2 aufgeführten Tieren;
    3. frischem Fleisch für den menschlichen Verzehr, ausgenommen Fleischzubereitungen, von Huftieren und Equiden.
  2. In dieser Verordnung werden die Listen von Drittländern, Gebieten und Teilen davon festgelegt, aus denen die in Absatz 1 genannten Sendungen in die Union verbracht werden dürfen.
  3. -
  4. Diese Verordnung gilt unbeschadet etwaiger besonderer Bescheinigungsvorschriften, die in anderen Rechtsakten der Union oder in Abkommen der Union mit Drittländern festgelegt sind.

Artikel 2 Definitionen

Im Sinne dieser Verordnung bezeichnet der Ausdruck

  1. "Huftiere": Huftiere im Sinne von Artikel 2 Buchstabe d der Richtlinie 2004/68/EG;
  2. "frisches Fleisch": frisches Fleisch im Sinne von Anhang I Nummer 1.10 der Verordnung (EG) Nr. 853/2004;
  3. "Equiden": Equiden im Sinne von Artikel 2 Buchstabe b der Richtlinie 90/426/EWG 18;
  4. "Betrieb": einen landwirtschaftlichen Betrieb oder ein anderes amtlich überwachtes landwirtschaftliches, industrielles oder gewerbliches Unternehmen, einschließlich Zoos, Vergnügungsparks, Wild- und Jagdgehegen, in denen Tieren üblicherweise gehalten oder aufgezogen werden.

Kapitel II
Bedingungen für das Verbringen lebender Tiere in die Union

Artikel 3 Allgemeine Bedingungen für das Verbringen von Huftieren in die Union

Sendungen mit Huftieren dürfen nur dann in die Union verbracht werden, wenn sie die folgenden Bedingungen erfüllen:

  1. Sie stammen aus Drittländern, Gebieten bzw. Teilen davon, die in den Spalten 1, 2 und 3 der Tabelle in Anhang I Teil 1 aufgeführt sind und für die in Spalte 4 der Tabelle in Anhang I Teil 1 eine Muster-Veterinärbescheinigung genannt wird, die der jeweiligen Sendung entspricht;
  2. ihnen liegt die zutreffende Veterinärbescheinigung bei, die nach dem einschlägigen Muster in Anhang I Teil 2 verfasst wurde, wobei die besonderen Bedingungen gemäß Spalte 6 der Tabelle in Teil 1 des genannten Anhangs Berücksichtigung fanden, und die von einem amtlichen Tierarzt/einer amtlichen Tierärztin des Ausfuhrdrittlandes ausgefüllt und unterzeichnet wurde;
  3. sie entsprechen den Anforderungen gemäß der unter Buchstabe b genannten Veterinärbescheinigung, u. a.
    1. sind sie mit den in dieser Veterinärbescheinigung aufgeführten zusätzlichen Garantien versehen, falls solche in Spalte 5 der Tabelle in Anhang I Teil 1 genannt sind;
    2. genügen sie etwaigen zusätzlichen Anforderungen an Veterinärbescheinigungen, die vom Bestimmungsmitgliedstaat gemäß dem Veterinärrecht der Union verlangt werden können und in der Bescheinigung aufscheinen.

Artikel 3a Bedingungen für das Verbringen von Huftieren, die für eine amtlich zugelassene Einrichtung, ein amtlich zugelassenes Institut oder ein amtlich zugelassenes Zentrum bestimmt sind, in die Union

  1. Abweichend von Artikel 3 kann die zuständige Behörde eines Mitgliedstaats das Verbringen von Sendungen mit Huftieren der in den Tabellen 1, 2 und 3 von Anhang VI Teil 1 aufgeführten Arten in ihr Hoheitsgebiet genehmigen, wenn diese Sendungen für eine amtlich zugelassene Einrichtung, ein amtlich zugelassenes Institut oder ein amtlich zugelassenes Zentrum bestimmt sind, sofern folgende Bedingungen erfüllt sind:
    1. Die zuständige Behörde des Bestimmungsmitgliedstaats hat eine Bewertung der Tiergesundheitsrisiken vorgenommen, die jede einzelne dieser Sendungen für die Union bergen kann;
    2. die betreffenden Sendungen kommen aus einem Drittland, Gebiet oder Teil eines Drittlandes, das bzw. der in einer der folgenden Listen aufgeführt ist:
      1. Liste in Anhang I Teil 1 oder in Anhang II Teil 1 der vorliegenden Verordnung,
      2. Liste in der Entscheidung 2004/211/EG 19, der Entscheidung 2007/777/EG 20, der Verordnung (EG) Nr. 798/2008 21, der Verordnung (EG) Nr. 119/2009 22 oder der Verordnung (EU) Nr. 605/2010 23;
    3. die Huftiere stammen aus einer Einrichtung, einem Institut oder einem Zentrum in einem Drittland, Gebiet oder Teil eines Drittlandes gemäß Buchstabe a, wie in einer nach Artikel 3c erstellten Liste aufgeführt;
    4. die Huftiere wurden in vektorgeschützten Räumlichkeiten am Standort der Einrichtung, des Instituts oder des Zentrums gemäß Buchstabe c während des in den einschlägigen Bescheinigungen vorgeschriebenen Zeitraums in Quarantäne gehalten;
    5. die Huftiere werden auf direktem Wege zu einer amtlich zugelassenen Einrichtung, einem amtlich zugelassenen Institut oder einem amtlich zugelassenen Zentrum im Bestimmungsmitgliedstaat befördert;
    6. den Huftieren liegt eine geeignete Veterinärbescheinigung bei, die gemäß der entsprechenden Musterbescheinigung in den Tabellen 1, 2 und 3 von Anhang VI Teil 1 erstellt wurde und in Teil 2 des genannten Anhangs enthalten ist;
    7. die Huftiere erfüllen die Anforderungen der unter Buchstabe f genannten Musterveterinärbescheinigung.

      Der Bestimmungsmitgliedstaat informiert die Kommission und die anderen Mitgliedstaaten im Ständigen Ausschuss für die Lebensmittelkette und Tiergesundheit vor der Verbringung der Huftiere in sein Hoheitsgebiet über die gemäß Unterabsatz 1 erteilte Genehmigung.

  2. Machen außergewöhnliche Umstände die Einhaltung der Bestimmungen in Absatz 1 Buchstaben c und d unmöglich, so kann die zuständige Behörde des Bestimmungsmitgliedstaats die Verbringung von Huftieren der in den Tabellen 1, 2 und 3 von Anhang VI Teil 1 gelisteten Arten aus anderen Betrieben, die den Anforderungen unter den genannten Buchstaben nicht entsprechen, in ihr Hoheitsgebiet genehmigen, sofern die Anforderungen in Absatz 1 Buchstaben a und b sowie e bis f erfüllt sind und folgende zusätzliche Bedingungen eingehalten werden:
    1. Der Besitzer oder eine natürliche Person, die diesen vertritt, hat vorab einen Antrag auf Genehmigung gestellt, und der Bestimmungsmitgliedstaat hat eine solche Genehmigung nach einer Risikobewertung erteilt, aus der hervorging, dass die Verbringung der betreffenden Huftiere in sein Hoheitsgebiet kein Tiergesundheitsrisiko für die Union birgt;
    2. die Huftiere wurden im Herkunftsdrittland, -gebiet oder -teil des Drittlandes unter amtlicher Aufsicht während des Zeitraums in Quarantäne gehalten, der zur Erfüllung der in der Musterveterinärbescheinigung gemäß Buchstabe f festgelegten Tiergesundheitsanforderungen nötig ist, und zwar
      1. an einem Ort, der von der zuständigen Behörde des Herkunftsdrittlandes, -gebiets oder -teils des Drittlandes der Tiere zugelassen wurde,
      2. gemäß den in der Genehmigung vorgeschriebenen Regelungen, die Garantien umfassen müssen, welche denen in Absatz 1 Buchstaben a und b sowie e bis g zumindest entsprechen müssen.

      Werden Huftiere nach Unterabsatz 1 in die Union verbracht, so sind sie ab dem Zeitpunkt ihrer Verbringung in die Union mindestens sechs Monate lang in einer amtlich zugelassenen Bestimmungseinrichtung, einem amtlich zugelassenen Bestimmungsinstitut oder einem amtlich zugelassenen Bestimmungszentrum in Quarantäne zu halten, und während dieses Zeitraums können die zuständigen Behörden die Bestimmungen des Artikels 8 Absatz 1 Buchstabe a der Richtlinie 90/425/EWG des Rates anwenden.

      Der Mitgliedstaat, der die Verbringung von Huftieren nach Unterabsatz 1 genehmigt, informiert die Kommission und die anderen Mitgliedstaaten im Ständigen Ausschuss für die Lebensmittelkette und Tiergesundheit vor der Verbringung der Huftiere in sein Hoheitsgebiet über die erteilte Genehmigung.

Artikel 3b Bedingungen für den Eingang und die Durchfuhr von Huftieren, die für eine amtlich zugelassene Einrichtung, ein amtlich zugelassenes Institut oder ein amtlich zugelassenes Zentrum bestimmt sind, durch das Hoheitsgebiet von anderen Mitgliedstaaten als dem Bestimmungsmitgliedstaat

Die Durchfuhr der Huftiere gemäß Artikel 3a durch einen anderen Mitgliedstaat als den Bestimmungsmitgliedstaat ist nur dann gestattet, wenn sie von der zuständigen Behörde des Durchfuhrmitgliedstaats genehmigt wurde. Eine solche Genehmigung kann nur auf der Grundlage einer von dieser zuständigen Behörde vorgenommenen Risikobewertung - unter Berücksichtigung der ihr vom Bestimmungsmitgliedstaat vorgelegten Informationen - erteilt werden.

Der Bestimmungsmitgliedstaat informiert die Kommission und die anderen Mitgliedstaaten im Ständigen Ausschuss für die Lebensmittelkette und Tiergesundheit vor der Durchfuhr, wenn er die Verbringung von Tieren unter den in Artikel 3a genannten Bedingungen genehmigt.

Artikel 3c Liste der amtlich zugelassenen Einrichtungen, Institute oder Zentren in Drittländern, Gebieten und Teilen von Drittländern

  1. Nach einer Überprüfung der Einhaltung der in Absatz 2 genannten Bedingungen kann jeder Mitgliedstaat eine Liste der Einrichtungen, Institute oder Zentren erstellen, aus denen das Verbringen von Huftieren in sein Hoheitsgebiet gemäß Artikel 3a Absatz 1 genehmigt werden kann.
  2. Eine Einrichtung, ein Institut oder ein Zentrum in einem Drittland, Gebiet oder Teil eines Drittlands darf nur dann in die Liste gemäß Absatz 1 aufgenommen werden, wenn folgende Bedingungen erfüllt sind:
    1. Die Einrichtung, das Institut oder das Zentrum entspricht den Anforderungen gemäß Anhang VI Teil 3;
    2. die Einrichtung, das Institut oder das Zentrum ist von der zuständigen Behörde des Drittlandes, Gebiets oder Teils des Drittlandes, in dem sich die Einrichtung, das Institut oder das Zentrum befindet, zugelassen;
    3. die zuständige Behörde des Drittlandes, Gebiets oder Teils des Drittlandes leistet ausreichende Garantien dafür, dass die in Anhang VI Teil 4 genannten Bedingungen hinsichtlich der Zulassung von Einrichtungen, Instituten oder Zentren erfüllt sind.
  3. Ein Mitgliedstaat kann in die Liste gemäß Unterabsatz 1 Einrichtungen, Institute oder Zentren in Drittländern aufnehmen, die bereits in einer entsprechenden, von einem anderen Mitgliedstaat erstellten Liste aufgeführt sind, ohne zuvor die Einhaltung der in Absatz 2 genannten Bedingungen zu überprüfen.
  4. Die Mitgliedstaaten halten die Listen gemäß Absatz 1 auf dem aktuellen Stand, wobei sie insbesondere berücksichtigen, ob von der zuständigen Behörde eines Drittlandes, Gebiets oder Teils eines Drittlandes für dort befindliche und in diesen Listen aufgeführte Einrichtungen, Institute oder Zentren erteilte Zulassungen ausgesetzt oder widerrufen wurden.
  5. Die Mitgliedstaaten machen die in Absatz 1 genannten Listen der Öffentlichkeit auf Webseiten zugänglich und halten diese stets auf dem aktuellen Stand.
  6. Die Mitgliedstaaten teilen der Kommission die jeweilige Internetadresse ihrer Informationsseiten mit.

Artikel 4 Bedingungen für Sammelstellen bei bestimmten Sendungen mit Huftieren

  1. Sendungen mit Huftieren, die lebende Tiere aus mehr als einem Betrieb umfassen, dürfen nur dann in die Union verbracht werden, wenn die Tiere in Sammelstellen zusammengeführt wurden, die die zuständige Behörde des Herkunftsdrittlandes, -gebiets oder -teils des Drittlandes gemäß den Bedingungen in Anhang I Teil 5 zugelassen hat.
  2. Sendungen mit Huftieren, die gemäß Artikel 3a oder Artikel 6 in die Union verbracht werden, dürfen nicht aus mehr als einem Betrieb stammen und nicht in Sammelstellen zusammengeführt werden.

Artikel 5 Protokolle für die Standardisierung von Materialien, Probenahmen und Testverfahren bei Huftieren

Sehen die Veterinärbescheinigungen, die in Spalte 4 der Tabelle in Anhang I Teil 1 genannt werden, für das Verbringen von Sendungen mit Huftieren in die Union Probenahmen und Tests hinsichtlich der in Teil 6 dieses Anhangs aufgeführten Krankheiten vor, so werden die Probenahmen und Tests von der zuständigen Behörde des Herkunftsdrittlandes oder unter ihrer Aufsicht nach den in Teil 6 diese Anhangs dargelegten Protokollen für die Standardisierung von Materialien und Testverfahren durchgeführt.

Artikel 6 Besondere Bedingungen für bestimmte Sendungen mit Huftieren, die nach St. Pierre und Miquelon eingeführt und in die Union verbracht werden

Sendungen, die Huftierarten gemäß der Tabelle in Anhang I Teil 7 umfassen und weniger als sechs Monate vor dem Tag der Beförderung von St. Pierre und Miquelon in die Union nach St. Pierre und Miquelon verbracht wurden, dürfen nur in die Union verbracht werden,

  1. wenn sie die Haltungs- und Quarantänebedingungen gemäß Kapitel 1 dieses Teils erfüllen;
  2. wenn sie gemäß den in Kapitel 2 dieses Teils festgelegten Vorschriften zur Untersuchung der Tiergesundheit untersucht wurden.

Artikel 7 Allgemeine Bedingungen für das Verbringen bestimmter Bienenarten in die Union

  1. Sendungen mit Bienenarten, die in Tabelle 1 in Anhang IV Teil 2 aufgeführt sind, dürfen nur aus Drittländern und Gebieten in die Union verbracht werden,
    1. die in der Tabelle in Anhang II Teil 1 aufscheinen;
    2. in denen das Auftreten der bösartigen Faulbrut, des kleinen Bienenstockkäfers (Aethina tumida) und der Tropilaelapsmilbe (Tropilaelaps spp.) im gesamten betreffenden Drittland bzw. Gebiet anzeigepflichtig ist.
  2. Abweichend von Absatz 1 Buchstabe a können Sendungen mit Bienen in die Union aus einem Teil eines Drittlandes oder eines Gebiets verbracht werden, der in Anhang II Teil 1 aufscheint und
    1. ein geografisch und epidemiologisch isolierter Teil des Drittlandes oder Gebiets ist;
    2. in Spalte 3 der Tabelle in Anhang IV Teil 1 Abschnitt 1 genannt wird.

      Wird diese Ausnahmeregelung angewendet, so ist es verboten, Sendungen mit Bienen aus jedem anderen Teil des betreffenden Drittlandes oder Gebiets, der nicht in Spalte 3 der Tabelle in Anhang IV Teil 1 Abschnitt 1 aufscheint, in die Union zu verbringen.

  3. Sendungen mit Bienenarten, die in Tabelle 1 in Anhang IV Teil 2 aufgeführt sind, bestehen entweder aus
    1. Käfigen mit Bienenköniginnen (betrifft Apis mellifera und Bombus spp.), wobei jeder einzelne Käfig eine Bienenkönigin mit höchstens 20 Pflegebienen enthält, oder aus
    2. Behältnissen mit Hummeln (Bombus spp.), wobei jedes einzelne Behältnis ein Volk von höchstens 200 erwachsenen Hummeln enthält.
  4. Für Sendungen mit Bienenarten, die in Tabelle 1 in Anhang IV Teil 2 aufgeführt sind, gilt Folgendes:
    1. ihnen liegt die zutreffende Veterinärbescheinigung bei, die nach dem einschlägigen Muster in Anhang IV Teil 2 verfasst und von einem amtlichen Kontrolleur/einer amtlichen Kontrolleurin des Ausfuhrdrittlandes ausgefüllt und unterzeichnet wurde;
    2. sie entsprechen den Anforderungen gemäß der unter Buchstabe a genannten Veterinärbescheinigung.

Artikel 8 Allgemeine Bedingungen für die Beförderung lebender Tiere in die Union

Während des Zeitraums zwischen dem Verladen im Herkunftsdrittland und dem Eintreffen an der Eingangsgrenzkontrollstelle der Union dürfen Sendungen mit lebenden Tieren nicht

  1. zusammen mit lebenden Tieren befördert werden, die
    1. nicht in die Union verbracht werden sollen oder
    2. einen niedrigeren Gesundheitsstatus aufweisen;
  2. in einem Drittland, einem Gebiet oder einem Teil davon abgeladen werden oder, im Fall der Beförderung per Flugzeug, auf ein anderes Flugzeug verladen bzw. auf der Straße oder der Schiene oder zu Fuß durch ein Drittland, ein Gebiet oder einen Teil davon verbracht werden, das bzw. der nicht zur Einfuhr der betreffenden Tiere in die Union zugelassen ist.

Artikel 9 Maximale Dauer der Beförderung lebender Tiere in die Union

Sendungen mit lebenden Tieren dürfen nur dann in die Union verbracht werden, wenn die jeweilige Sendung binnen 10 Tagen nach Ausstellung der betreffenden Veterinärbescheinigung an der Eingangsgrenzkontrollstelle der Union eintrifft.

Bei der Beförderung per Schiff verlängert sich diese Frist von 10 Tagen um die Dauer der Beförderung auf dem Seeweg; diese bescheinigt der Schiffskapitän mittels einer unterzeichneten Erklärung, die gemäß Anhang I Teil 3 verfasst und im Original der Veterinärbescheinigung beigefügt wird.

Artikel 10 Besondere Bedingungen bezüglich des Besprühens von Sendungen mit lebenden Tieren, die per Flugzeug in die Union befördert werden

Werden Sendungen mit lebenden Tieren, ausgenommen Sendungen mit Bienen, per Flugzeug befördert, so werden die Kiste oder der Container, in der bzw. in dem sie befördert werden, und die Umgebung mit einem geeigneten Insektizid besprüht.

Dies erfolgt nach dem Verladen unmittelbar vor dem Schließen der Flugzeugtüren sowie bei jedem nachfolgenden Öffnen der Flugzeugtüren in einem Drittland, bis das Flugzeug seinen Bestimmungsort erreicht hat.

Der Flugkapitän bzw. die Flugkapitänin des Flugzeugs bescheinigt das Besprühen, indem er/sie eine Erklärung unterzeichnet, die gemäß Anhang I Teil 4 verfasst und im Original der Veterinärbescheinigung beigefügt wird.

Artikel 11 Bedingungen, die nach dem Verbringen bestimmter Sendungen mit Huftieren in die Union gelten

  1. Sendungen mit anderen als den in Artikel 3a genannten Huftieren werden nach ihrer Verbringung in die Union in einem vektorgeschützten Transportmittel unverzüglich zum Bestimmungsbetrieb befördert.

    Die Huftiere werden mindestens 30 Tage lang in diesem Betrieb gehalten, es sei denn, sie werden unmittelbar zu einem Schlachthof gebracht.

  2. Sendungen mit Huftieren, die zur sofortigen Schlachtung bestimmt sind, werden nach ihrem Verbringen in die Union unverzüglich zum Bestimmungsschlachthof befördert, wo sie nach dem Eintreffen binnen fünf Arbeitstagen geschlachtet werden.

Artikel 12 Besondere Bedingungen bezüglich der Durchfuhr bestimmter Sendungen mit Huftieren durch Drittländer

Kommt die in Anhang I Teil 1 genannte besondere Bedingung "I" zur Anwendung, damit die Durchfuhr von Sendungen mit Huftieren im Sinne dieser Bedingung, die aus einem Mitgliedstaat stammen und für einen anderen Mitgliedstaat bestimmt sind, durch ein Drittland, ein Gebiet oder einen Teil davon zugelassen wird, das bzw. der in der Tabelle in Anhang I Teil 1 aufscheint, für das bzw. für den aber keine entsprechende Muster-Veterinärbescheinigung für Sendungen mit den betreffenden Huftieren in Spalte 4 der Tabelle genannt wird, so gelten die folgenden Bedingungen:

  1. Bei Mastrindern:
    1. Die zuständige Behörde am Bestimmungsort muss die Bestimmungsbetriebe im Vorhinein festlegen;
    2. die zur Sendung gehörenden lebenden Tiere dürfen den Bestimmungsbetrieb nur zur sofortigen Schlachtung verlassen;
    3. jede Verbringung lebender Tiere in den Bestimmungsbetrieb und aus dem Bestimmungsbetrieb muss unter der Aufsicht der zuständigen Behörde erfolgen, solange die zur Sendung gehörenden Tiere im Bestimmungsbetrieb gehalten werden.
  2. Für Huftiere zur sofortigen Schlachtung gilt Artikel 11 Absatz 2.

Artikel 12a Ausnahmeregelung für die Durchfuhr bestimmter Sendungen lebender Rinder für Zucht- und Nutzzwecke durch Litauen 19

  1. Die Durchfuhr auf der Straße von Sendungen lebender Rinder für Zucht- und Nutzzwecke aus der russischen Region Kaliningrad mit einem Bestimmungsort außerhalb der Union durch Litauen wird unter folgenden Bedingungen genehmigt:
    1. Die Tiere treffen an der Grenzkontrollstelle Kybartai (Straße) in Litauen ein und verlassen das Land an der Grenzkontrollstelle Medininkai;
    2. die Tiere werden in Behältern auf Straßenfahrzeugen befördert, die vom Veterinärdienst der zuständigen litauischen Behörde an der Eingangsgrenzkontrollstelle der Union in Kybartai (Straße) mit einer Plombe mit Seriennummer verplombt wurden;
    3. die Dokumente gemäß Artikel 7 Absatz 1 dritter Gedankenstrich der Richtlinie 91/496/EWG des Rates - auch die entsprechend dem Muster "BOV-X-TRANSIT-RU" in Anhang I Teil 2 der Verordnung vorschriftsmäßig ausgefüllte Veterinärbescheinigung, die von der Grenzkontrollstelle Kybartai (Straße) bis zur Grenzkontrollstelle Medininkai mitgeführt werden, werden von der für die Grenzkontrollstelle Kybartai (Straße) zuständigen Behörde auf jeder Seite mit dem Wortlaut "NUR ZUR DURCHFUHR AUS DER RUSSISCHEN REGION KALININGRAD DURCH LITAUEN" abgestempelt;
    4. - gestrichen -
    5. - gestrichen -
    6. mit der Sendung wird eine Gesundheitsbescheinigung mitgeführt, die den ungehinderten Eintritt nach Belarus erlaubt sowie eine auf den Bestimmungsort der Tiere in Russland ausgestellte Veterinärbescheinigung.
  2. - gestrichen -

    Der amtliche Tierarzt/die amtliche Tierärztin an der Grenzkontrollstelle Medininkai füllt Teil 3 des Gemeinsamen Veterinärdokuments für die Einfuhr aus, wenn die Ausgangskontrollen ergeben haben, dass es sich tatsächlich um die Sendung handelt, die an der Grenzkontrollstelle "Kybartai (Straße)" in Litauen eingetroffen ist.

  3. Bei Unregelmäßigkeiten oder Notfällen während der Durchfuhr wendet der Durchfuhrmitgliedstaat die in Artikel 8 Absatz 1 Buchstabe b zweiter Gedankenstrich der Richtlinie 90/425/EWG 25 vorgesehenen Maßnahmen dem Fall entsprechend an.
  4. - gestrichen -

Artikel 13 Bedingungen, die nach dem Verbringen von Sendungen mit Bienen im Sinne des Artikels 7 in die Union gelten

  1. Sendungen mit Bienenköniginnen im Sinne von Artikel 7 Absatz 3 Buchstabe a werden unverzüglich zum Bestimmungsort befördert, wo die Bienenstöcke unter die Aufsicht der zuständigen Behörde gestellt und die Bienenköniginnen vor ihrem Einsetzen in örtliche Völker in neue Käfige verladen werden.
  2. Die Käfige, Pflegebienen und alles Material, das die Bienenköniginnen aus dem Herkunftsdrittland begleitet hat, werden an ein durch die zuständige Behörde benanntes Labor gesandt, und zwar zur Untersuchung auf
    1. den kleinen Bienenstockkäfer (Aethina tumida), seine Eier und Larven;
    2. Anzeichen der Tropilaelapsmilbe (Tropilaelaps spp.).

      Nach der Laboruntersuchung werden Käfige, Pflegebienen und alles Material unschädlich beseitigt.

  3. Sendungen mit Hummeln (Bombus spp.) im Sinne von Artikel 7 Absatz 3 Buchstabe b werden unverzüglich zum Bestimmungsort befördert.

    Die betreffenden Hummeln können bis zum Ende der Lebensdauer des Volkes in dem Behältnis bleiben, in dem sie in die Union verbracht wurden.

    Dieses Behältnis und das Material, das die Hummeln aus dem Herkunftsdrittland begleitet hat, werden spätestens am Ende der Lebensdauer des Volkes unschädlich beseitigt.

Artikel 13a Bedingungen, die nach dem Verbringen von Sendungen mit Huftieren gelten, die für amtlich zugelassene Einrichtungen, Institute oder Zentren bestimmt sind

  1. Sendungen mit Huftieren, die für amtlich zugelassene Einrichtungen, Institute oder Zentren bestimmt sind, werden nach ihrer Verbringung in die Union unverzüglich zu der amtlich zugelassenen Bestimmungseinrichtung, dem amtlich zugelassenen Bestimmungsinstitut oder dem amtlich zugelassenen Bestimmungszentrum befördert, und zwar in vektorgeschützten Transportmitteln, die so konstruiert sind, dass beim Transport kein Entweichen von Tieren möglich ist und Kot, Urin, Einstreu, Futter, Abfall oder sonstiges Material nicht aus dem Fahrzeug oder Container ausfließen bzw. herausfallen können.
  2. Die Tiere werden in vektorgeschützten Räumlichkeiten am Standort der amtlich zugelassenen Einrichtung, des amtlich zugelassenen Instituts oder des amtlich zugelassenen Zentrums des Bestimmungsmitgliedstaats mindestens 30 Tage lang in Quarantäne gehalten. Nach der 30-tägigen Quarantäne dürfen die Tiere in eine andere amtlich zugelassene Einrichtung, ein anderes amtlich zugelassenes Institut oder ein anderes amtlich zugelassenes Zentrum verbracht werden.
  3. Die in eine amtlich zugelassene Einrichtung, ein amtlich zugelassenes Institut oder ein amtlich zugelassenes Zentrum eingestellten Tiere dürfen nur dann an einen Bestimmungsort, bei dem es sich um keine amtlich zugelassene Einrichtung, kein amtlich zugelassenes Institut und kein amtlich zugelassenes Zentrum handelt, verbracht werden, wenn
    1. seit dem Zeitpunkt der Verbringung in die Union mindestens sechs Monate vergangen sind und
    2. die Verbringung gemäß Anhang C Nummer 4 der Richtlinie 92/65/EWG erfolgt.
  4. Abweichend von Absatz 3 dürfen Tiere eine amtlich zugelassene Einrichtung, ein amtlich zugelassenes Institut oder ein amtlich zugelassenes Zentrum vor Ablauf der in dem genannten Absatz vorgeschriebenen Frist von sechs Monaten nur dann verlassen, wenn folgende Bedingungen erfüllt sind:
    1. Die Tiere werden in ein Drittland, ein Gebiet oder einen Teil eines Drittlandes ausgeführt;
    2. zum Zweck ihrer Ausfuhr gemäß Buchstabe a werden die Tiere in vektorgeschützten Transportmitteln befördert, die so konstruiert sind, dass beim Transport kein Entweichen von Tieren möglich ist und Kot, Urin, Einstreu, Futter, Abfall oder sonstiges Material nicht aus dem Fahrzeug oder Container ausfließen oder herausfallen können.

Kapitel III
Bedingungen für das Verbringen frischen Fleisches in die Union

Artikel 14 Allgemeine Bedingungen für die Einfuhr frischen Fleisches

Sendungen mit frischem Fleisch für den menschlichen Verzehr dürfen nur dann in die Union eingeführt werden, wenn sie die folgenden Bedingungen erfüllen:

  1. Sie stammen aus Drittländern, Gebieten bzw. Teilen davon, die in den Spalten 1, 2 und 3 der Tabelle in Anhang II Teil 1 aufgeführt sind und für die in Spalte 4 der Tabelle in Anhang II Teil 1 eine Muster-Veterinärbescheinigung genannt wird, die der jeweiligen Sendung entspricht;
  2. sie werden an der Eingangsgrenzkontrollstelle der Union gestellt und ihnen liegt die zutreffende Veterinärbescheinigung bei, die nach dem einschlägigen Muster in Anhang II Teil 2 verfasst wurde, wobei die besonderen Bedingungen gemäß Spalte 6 der Tabelle in Teil 1 des genannten Anhangs Berücksichtigung fanden, und die von einem amtlichen Tierarzt/einer amtlichen Tierärztin des Ausfuhrdrittlandes ausgefüllt und unterzeichnet wurde;
  3. sie entsprechen den Anforderungen gemäß der unter Buchstabe b genannten Veterinärbescheinigung, u. a.
    1. sind sie mit den in dieser Veterinärbescheinigung aufgeführten zusätzlichen Garantien versehen, falls solche in Spalte 5 der Tabelle in Anhang II Teil 1 genannt sind;
    2. genügen sie etwaigen zusätzlichen Anforderungen an Veterinärbescheinigungen, die vom Bestimmungsmitgliedstaat gemäß dem Veterinärrecht der Union verlangt werden können und in der Bescheinigung aufscheinen.

Artikel 15 Bedingungen, die nach der Einfuhr nicht gehäuteter Schlachtkörper von wildlebenden Klauentieren gelten

Sendungen mit nicht gehäuteten Schlachtkörpern von wildlebenden Klauentieren, die nach weiterer Bearbeitung für den menschlichen Verzehr bestimmt sind, werden gemäß Artikel 8 Absatz 2 der Richtlinie 97/78/EG des Rates 26 unverzüglich zum Bearbeitungsbetrieb am Bestimmungsort befördert.

Artikel 16 Durchfuhr und Lagerung frischen Fleisches

Das Verbringen von Sendungen mit frischem Fleisch in die Union, die nicht in die Union eingeführt werden sollen, sondern entweder unmittelbar per Durchfuhr oder nach Lagerung gemäß Artikel 12 Absatz 4 und Artikel 13 der Richtlinie 97/78/EG für ein Drittland bestimmt sind, ist nur dann zulässig, wenn die Sendungen folgende Bedingungen erfüllen:

  1. Sie stammen aus Drittländern, Gebieten bzw. Teilen davon, die in den Spalten 1, 2 und 3 der Tabelle in Anhang II Teil 1 aufgeführt sind und für die in Spalte 4 der Tabelle in Anhang II Teil 1 eine Muster-Veterinärbescheinigung genannt wird, die der jeweiligen Sendung entspricht;
  2. sie entsprechen den für die betreffende Sendung geltenden Tiergesundheitsvorschriften, die in der einschlägigen Muster-Veterinärbescheinigung gemäß Buchstabe a festgelegt sind;
  3. ihnen liegt eine Veterinärbescheinigung bei, die nach dem Muster in Anhang III verfasst und von einem amtlichen Tierarzt/einer amtlichen Tierärztin des Ausfuhrdrittlandes ausgefüllt und unterzeichnet wurde;
  4. ihre Durchfuhrtauglichkeit, gegebenenfalls einschließlich ihrer Lagerfähigkeit, wurde auf dem Gemeinsamen Veterinärdokument für die Einfuhr im Sinne von Artikel 2 Absatz 1 der Verordnung (EG) Nr. 136/2004 der Kommission 27 bescheinigt, das der amtliche Tierarzt bzw. die amtliche Tierärztin an der Eingangsgrenzkontrollstelle der Union unterzeichnet hat.

Artikel 17 Ausnahmebestimmungen für die Durchfuhr durch Lettland, Litauen und Polen 19

  1. Abweichend von Artikel 16 wird die Durchfuhr von Sendungen durch die Union zugelassen, die auf direktem Wege oder über ein anderes Drittland auf der Straße oder Schiene aus Russland kommen oder für Russland bestimmt sind und zwischen den benannten Grenzkontrollstellen in Lettland, Litauen und Polen befördert werden, die in der Entscheidung 2009/821/EG der Kommission 28 aufscheinen, sofern folgende Bedingungen erfüllt sind:
    1. Die Veterinärdienste der zuständigen Behörde haben die Sendung an der Eingangsgrenzkontrollstelle der Union mit einer Plombe mit Seriennummer verplombt;
    2. - gestrichen -
    3. - gestrichen -
    4. - gestrichen -
  2. - gestrichen -
  3. - gestrichen -

Artikel 17a Ausnahmebestimmungen für die Durchfuhr durch Kroatien von Sendungen, die aus Bosnien und Herzegowina stammen und für Drittländer bestimmt sind 19

  1. Abweichend von Artikel 16 ist die direkte Durchfuhr von für Drittländer bestimmten Sendungen aus Bosnien und Herzegowina auf der Straße durch die Union zwischen der Grenzkontrollstelle Nova Sela und der Grenzkontrollstelle Ploce zulässig, sofern folgende Bedingungen erfüllt sind:
    1. Die Sendung wird vom amtlichen Tierarzt bzw. der amtlichen Tierärztin an der Eingangsgrenzkontrollstelle mit einer Plombe mit Seriennummer verplombt;
    2. - gestrichen -
    3. - gestrichen -
    4. - gestrichen -
  2. - gestrichen -
  3. - gestrichen -

Kapitel IV
Allgemeine, Übergangs- und Schlussbestimmungen

Artikel 18 Bescheinigung

Die gemäß dieser Verordnung erforderlichen Veterinärbescheinigungen werden nach den Erläuterungen in Anhang V ausgefüllt.

Diese Bestimmung schließt jedoch nicht aus, dass Bescheinigungen auch elektronisch oder nach anderen auf Unionsebene vereinbarten harmonisierten Systemen erstellt werden.

Artikel 19 Übergangsbestimmungen

Sendungen mit lebenden Tieren, mit Ausnahme von Bienen aus dem US-Bundesstaat Hawaii, und Sendungen mit frischem Fleisch für den menschlichen Verzehr, für die vor dem 30. November 2010 gemäß der Entscheidung 79/542/EWG oder gemäß der Entscheidung 2003/881/EG Veterinärbescheinigungen ausgestellt wurden, dürfen während einer Übergangszeit bis zum 31. Mai 2011 weiterhin in die Union verbracht werden.

Artikel 20 Aufhebung

Die Entscheidung 2003/881/EG wird aufgehoben.

Artikel 21 Inkrafttreten

Diese Verordnung tritt am zwanzigsten Tag nach ihrer Veröffentlichung im Amtsblatt der Europäischen Union in Kraft.

Diese Verordnung ist in allen ihren Teilen verbindlich und gilt unmittelbar in jedem Mitgliedstaat.

1) ABl. Nr. L 268 vom 14.09.1992 S. 54.

2) ABl. Nr. L 18 vom 23.01.2003 S. 11.

3) ABl. Nr. L 139 vom 30.04.2004 S. 321.

4) ABl. Nr. L 139 vom 30.04.2004 S. 1.

5) ABl. Nr. L 139 vom 30.04.2004 S. 55.

6) ABl. Nr. L 139 vom 30.04.2004 S. 206.

7) ABl. Nr. L 165 vom 30.04.2004 S. 1.

8) ABl. Nr. L 302 vom 31.12.1972 S. 28.

9) ABl. Nr. L 146 vom 14.06.1979 S. 15.

10) ABl. Nr. L 157 vom 30.04.2004 S. 33.

11) ABl. Nr. L 13 vom 16.01.1997 S. 28.

12) ABl. Nr. L 125 vom 23.05.1996 S. 10.

13) ABl. Nr. L 147 vom 31.05.2001 S. 1.

14) ABl. Nr. L 340 vom 31.12.1993 S. 21.

15) ABl. Nr. L 3 vom 05.01.2005 S. 1.

16) Österreichischer Ausdruck gemäß Protokoll Nr. 10 zur Beitrittsakte 1994.

17) ABl. Nr. L 328 vom 17.12.2003 S. 26.

18) ABl. Nr. L 224 vom 18.08.1990 S. 42.

19) ABl. Nr. L 73 vom 11.03.2004 S. 1.

20) ABl. Nr. L 312 vom 30.11.2007 S. 49.

21) ABl. Nr. L 226 vom 23.08.2008 S. 1.

22) ABl. Nr. L 39 vom 10.02.2009 S. 12.

23) ABl. Nr. L 175 vom 10.07.2010 S. 1.

24) ABl. Nr. L 49 vom 19.02.2004 S. 11.

25) ABl. Nr. L 224 vom 18.08.1990 S. 29.

26) ABl. Nr. L 24 vom 30.01.1998 S. 9.

27) ABl. Nr. L 21 vom 28.01.2004 S. 11.

28) ABl. Nr. L 296 vom 12.11.2009 S. 1.

.

Huftiere Anhang I 20

Teil 1
Liste von Drittländern, Gebieten und Teilen davon *
15 15a 17 19 19a 19b Gültig 20

ISO-Code und Name des Drittlandes Gebiets- code Beschreibung des Drittlandes, Gebiets bzw. Teils Veterinärbescheinigung Besondere Bedingungen
Muster ZG
1 2 3 4 5 6
Ca - Kanada CA-0 Gesamtes Hoheitsgebiet POR-X, BOV-X, OVI-X, OVI-Y, RUM ** IVb

IX

V

XIII ******

CH - Schweiz CH-0 Gesamtes Hoheitsgebiet ***
CL - Chile CL-0 Gesamtes Hoheitsgebiet BOV-X,OVI-X, RUM
POR-X, SUI B
GB Vereinigtes Königreich *******

Stand: VO (EU) 2020/2204

GB-0 Gesamtes Hoheitsgebiet
GB-1 England und Wales BOV-X, BOV-Y, OVI-X, OVI-Y, POR-X, POR-Y, RUM, SUI III, IVa, V, IX, XI
GB-2 Schottland BOV-X, BOV-Y, OVI-X, OVI-Y, POR-X, POR-Y, RUM, SUI II, III, IVa, V, IX, XI
GG-Guernsey

Stand: VO (EU) 2020/2204

GB-0 Gesamtes Hoheitsgebiet BOV-X, OVI-X, POR-X, RUM V, IX
GL - Grönland GL-0 Gesamtes Hoheitsgebiet OVI-X, RUM V
IM - Insel Man

Stand: VO (EU) 2020/2204

IM-0 Gesamtes Hoheitsgebiet BOV-X, BOV-Y, OVI-X, OVI-Y II, III, IVa, V, IX
IS - Island IS-0 Gesamtes Hoheitsgebiet BOV-X, BOV-Y RUM, OVI-X, OVI-Y
POR-X, POR-Y B
JE-Jersey

Stand: VO (EU) 2020/2204

JE-0 Gesamtes Hoheitsgebiet BOV-X, BOV-Y IVa
ME - Montenegro ME-0 Gesamtes Hoheitsgebiet I
MK - Republik Nordmazedonien MK-0 Gesamtes Hoheitsgebiet I
NZ - Neuseeland NZ-0 Gesamtes Hoheitsgebiet BOV-X, BOV-Y, RUM, POR-X, POR-Y OVI-X, OVI-Y III
V
XII
PM - St. Pierre und Miquelon PM-0 Gesamtes Hoheitsgebiet BOV-X, BOV-Y, RUM, OVI-X, OVI-Y CAM
RS - Serbien ***** RS-0 Gesamtes Hoheitsgebiet I
RU - Russland RU-0 Gesamtes Hoheitsgebiet
RU-1 Gesamtes Hoheitsgebiet, ausgenommen die Region Kaliningrad
RU-2 Region Kaliningrad BOV-X-TRANSIT-RU X
US - Vereinigte Staaten US-0 Gesamtes Hoheitsgebiet POR-X D
*) Unbeschadet besonderer Bescheinigungsvorschriften, die in etwaigen einschlägigen Abkommen der Union mit Drittländern festgelegt sind.

**) Ausschließlich für andere lebende Tiere als solche, die zur Familie Cervidae gehören.

***) Bescheinigungen gemäß dem Abkommen zwischen der Europäischen Gemeinschaft und der Schweizerischen Eidgenossenschaft über den Handel mit landwirtschaftlichen Erzeugnissen (ABl. Nr. L 114 vom 30.04.2002 S. 132).

****) - gestrichen -

*****) Ausgenommen Kosovo nach UNSCR 1244/99.

Kanada ******): Gemäß dem OIE-Gesundheitskodex für Landtiere gilt der Zeitraum vom 1. November bis zum 15. Mai als saisonal frei von der Blauzungenkrankheit und der epizootischen Hämorrhagie.

*******) Im Einklang mit dem Abkommen über den Austritt des Vereinigten Königreichs Großbritannien und Nordirland aus der Europäischen Union und der Europäischen Atomgemeinschaft und insbesondere nach Artikel 5 Absatz 4 des Protokolls zu Irland/Nordirland in Verbindung mit Anhang 2 dieses Protokolls gelten für die Zwecke dieses Anhangs Bezugnahmen auf das Vereinigte Königreich nicht für Nordirland.

Besondere Bedingungen (siehe die Fußnoten in den einzelnen Bescheinigungen)

"I": Für die Durchfuhr lebender Tiere zur sofortigen Schlachtung oder lebender Mastrinder, die aus einem Mitgliedstaat versandt wurden und für einen anderen Mitgliedstaat bestimmt sind, durch das Hoheitsgebiet eines Drittlandes in LKW, die mit einer Plombe mit Seriennummer verplombt sind.

Die Plombennummer ist in der Veterinärbescheinigung einzutragen, und zwar - bei lebenden Schlachtrindern und Mastrindern - gemäß dem Muster in Anhang F der Richtlinie 64/432/EWG 1 bzw. - bei Schlachtschafen und Schlachtziegen - gemäß Muster I in Anhang E der Richtlinie 91/68/EWG 2.

Die Plombe muss beim Eintreffen der Sendung an der angegebenen Eingangsgrenzkontrollstelle der Union unbeschädigt sein, und die Plombennummer ist im integrierten EDV-System der Union für das Veterinärwesen (TRACES) zu erfassen

Die Bescheinigung ist vor der Durchfuhr durch ein oder mehrere Drittländer am Ort des Ausgangs aus der Union von der zuständigen Veterinärbehörde mit dem Vermerk "NUR ZUR DURCHFUHR ZWISCHEN VERSCHIEDENEN TEILEN DER EUROPÄISCHEN UNION DURCH DIE REPUBLIK NORDMAZEDONIEN/MONTENEGRO/SERBIEN * **" zu versehen.

Mastrinder müssen unmittelbar zum Bestimmungsbetrieb befördert werden, den die für den Bestimmungsort zuständige Veterinärbehörde festgelegt hat. Solche Tiere dürfen diesen Betrieb nur zur sofortigen Schlachtung verlassen.

_____
*) Nichtzutreffendes Land streichen.
**) Serbien, ausgenommen Kosovo nach UNSCR 1244/99.

"II": Gebiet, dem zum Zweck der Ausfuhr lebender Tiere, für die eine Bescheinigung nach dem Muster BOV-X ausgestellt wurde, in die Union der Status "amtlich anerkannt frei von Tuberkulose" zuerkannt wurde.
"III": Gebiet, dem zum Zweck der Ausfuhr lebender Tiere, für die eine Bescheinigung nach dem Muster BOV-X ausgestellt wurde, in die Union der Status "amtlich anerkannt frei von Brucellose" zuerkannt wurde.
"IVa": Gebiet, dem zum Zweck der Ausfuhr lebender Tiere, für die eine Bescheinigung nach dem Muster BOV-X ausgestellt wurde, in die Union der Status "amtlich anerkannt frei von enzootischer Rinderleukose" zuerkannt wurde.
"IVb": Bestand, dem zum Zweck der Ausfuhr lebender Tiere, für die eine Bescheinigung nach dem Muster BOV-X ausgestellt wurde, in die Union der Status "amtlich anerkannt frei von enzootischer Rinderleukose" im Sinne des Anhangs D der Richtlinie 64/432/EWG zuerkannt wurde.
"V": Gebiet, dem zum Zweck der Ausfuhr lebender Tiere, für die eine Bescheinigung nach dem Muster OVI-X ausgestellt wurde, in die Union der Status "amtlich anerkannt frei von Brucellose" zuerkannt wurde.
"VI": Geografische Beschränkungen.
"VII": Gebiet, dem zum Zweck der Ausfuhr lebender Tiere, für die eine Bescheinigung nach dem Muster RUM ausgestellt wurde, in die Union der Status "amtlich anerkannt frei von Tuberkulose" zuerkannt wurde.
"VIII": Gebiet, dem zum Zweck der Ausfuhr lebender Tiere, für die eine Bescheinigung nach dem Muster RUM ausgestellt wurde, in die Union der Status "amtlich anerkannt frei von Brucellose" zuerkannt wurde.
"IX": Gebiet, dem zum Zweck der Ausfuhr lebender Tiere, für die eine Bescheinigung nach dem Muster POR-X ausgestellt wurde, in die Union der Status "amtlich anerkannt frei von der Aujeszky-Krankheit" zuerkannt wurde.
"X": Nur für die Durchfuhr von Rindern für Zucht- und/oder Nutzzwecke aus der Region Kaliningrad durch Litauen in andere Regionen Russlands.
"XI": Nicht abgesetzte Hausschweine unter fünf Wochen sind von der Trichinenuntersuchung befreit.
"XII": Gebiet, dessen Rinderbeständen der Status anerkannt tuberkulosefreier Rinderbestände zuerkannt wurde, die denen gleichwertig sind, welche nach den Bedingungen des Anhangs a Nummer I Absätze 1 und 2 der Richtlinie 64/432/EWG für die Zwecke der Ausfuhr lebender Tiere in die Union anerkannt sind und für die Bescheinigungen nach den Musterveterinärbescheinigungen BOV-X oder BOV-Y ausgestellt wurden.
"XIII": Gebiet, dem zum Zweck der Ausfuhr lebender Tiere, für die eine Bescheinigung nach dem Muster BOV-X, OVI-X, OVI-Y oder RUM ausgestellt wurde, in die Union der Status "amtlich anerkannt als saisonal frei von der Blauzungenkrankheit und der epizootischen Hämorrhagie" zuerkannt wurde.

Teil 2 15 17 17a 19
Muster-Veterinärbescheinigungen

Muster

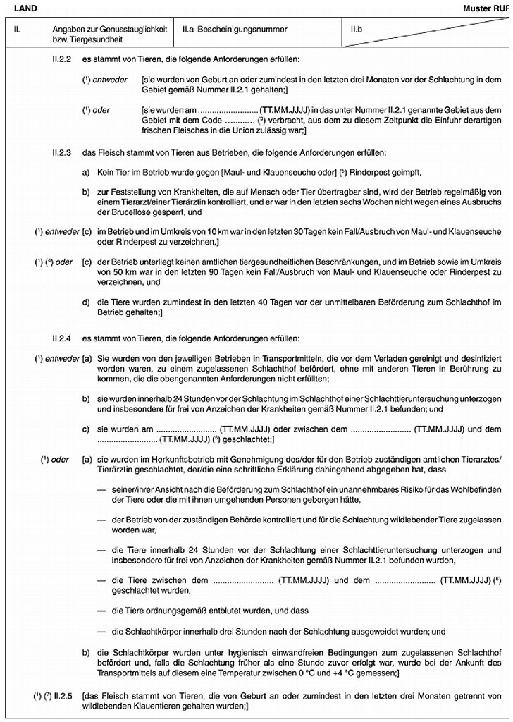
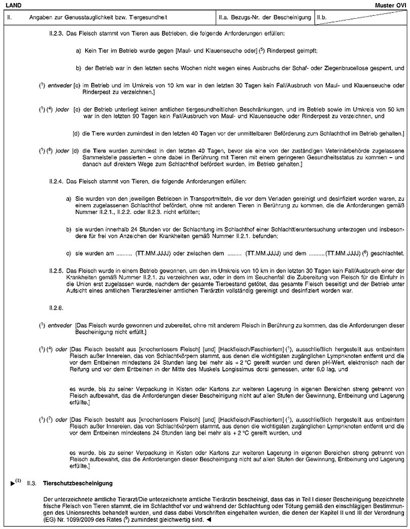
"BOV-X": Veterinärbescheinigung für Hausrinder (einschließlich Bubalus und Bison-Arten sowie ihrer Kreuzungen), die nach der Einfuhr für Zucht und/oder Nutzzwecke bestimmt sind
" BOV-Y": Veterinärbescheinigung für Hausrinder (einschließlich Bubalus und Bison-Arten sowie ihrer Kreuzungen), die nach der Einfuhr zur sofortigen Schlachtung bestimmt sind
" BOV-X-TRANSIT-RU": Veterinärbescheinigung für Hausrinder (einschließlich Bubalus und Bison- Arten sowie ihrer Kreuzungen), die aus der Region Kaliningrad durch das Hoheitsgebiet Litauens in andere Regionen Russlands durchgeführt werden sollen
" OVI-X": Veterinärbescheinigung für Hausschafe (Ovis aries) und Hausziegen (Capra hircus), die nach der Einfuhr für Zucht- und/oder Nutzzwecke bestimmt sind
" OVI-Y": Veterinärbescheinigung für Hausschafe (Ovis aries) und Hausziegen (Capra hircus), die nach der Einfuhr zur sofortigen Schlachtung bestimmt sind
" POR-X": Muster einer Veterinärbescheinigung für Hausschweine (Sus scrofa), die nach der Einfuhr für Zucht- und/oder Nutzzwecke bestimmt sind oder die für die Durchfuhr durch die Union aus einem Drittland in ein anderes Drittland bestimmt sind
" POR-Y": Veterinärbescheinigung für Hausschweine (Sus scrofa), die nach der Einfuhr zur sofortigen Schlachtung bestimmt sind
" RUM": Muster einer Veterinärbescheinigung für Tiere der Ordnung Artiodactyla (ausgenommen Rinder - einschließlich Bubalus- und Bison-Arten sowie ihrer Kreuzungen -, Ovis aries, Capra hircus, Suidae und Tayassuidae) sowie für Tiere der Familien der Rhinocerotidae und Elephantidae
" SUI": Muster einer Veterinärbescheinigung für nicht domestizierte Suidae, Tayassuidae und Tapiridae
" CAM": Muster einer besonderen Tiergesundheitsbescheinigung für Tiere, die gemäß den Bedingungen in Anhang I Teil 7 aus St. Pierre und Miquelon eingeführt werden
ZG (Zusätzliche Garantien)
"A": Garantien bezüglich der Untersuchung von Tieren, für die eine Bescheinigung nach dem Muster BOV-X (Nummer II.2.1 d)), OVI-X (Nummer II.2.1 d)) bzw. RUM (Nummer II.2.1 c)) ausgestellt wurde, auf Blauzungenkrankheit und epizootische Hämorrhagie
"B": Garantie der Untersuchung von Tieren mit Bescheinigungen nach Muster POR-X (Nummer II.2.4 B) und SUI (Nummer II.2.4 B) auf vesikuläre Schweinekrankheit und klassische Schweinepest
"C": Garantie der Untersuchung von Tieren mit Bescheinigungen nach Muster POR-X (Nummer II.2.4 C) und SUI (Nummer II.2.4 C) auf Brucellose
"D": Garantie der Untersuchung von Tieren mit Bescheinigungen nach Muster POR-X (Nummer II.2.1 Buchstabe b) auf vesikuläre Stomatitis.

Muster BOV-X


Muster BOV-Y

Muster BOV-X-TRANSIT-RU

Muster OVI-X


Muster OVI-Y


Muster POR-X

Muster POR-Y

Muster RUM


Muster SUI

Muster CAM
Besondere Tiergesundheitsbescheinigung für Tiere, die vor dem Verbringen in die Union auf St. Pierre und Miquelon in Quarantäne gehalten werden

Teil 3
Addendum für die Beförderung von Tieren per Schiff

(Auszufüllen und der Veterinärbescheinigung beizufügen, wenn die Beförderung zur Grenze der Union - auch nur teilweise - per Schiff erfolgt.)

Erklärung des Schiffskapitäns/der Schiffskapitänin

Der unterzeichnete Kapitän/Die unterzeichnete Kapitänin des Schiffes (Schiffsname .........) erklärt, dass die in der beiliegenden Veterinärbescheinigung (Nr. ..........) bezeichneten Tiere während der Beförderung von ......... in ......... (Ausfuhrland) nach/in ......... in der Union an Bord verblieben sind und dass das Schiff auf dem Weg in die Union außer ......... (Anlaufhäfen) keinen Ort außerhalb von ......... (Ausfuhrland) angelaufen hat.
Während der Beförderung sind die Tiere außerdem nicht mit anderen Tieren an Bord in Berührung gekommen, die einen niedrigeren Gesundheitsstatus aufweisen.

Geschehen zu ........................................................ am .............................................................

(Zielhafen) (Datum der Ankunft)

(Unterschrift des Schiffskapitäns/der Schiffskapitänin)

(Stempel)

(Name in Großbuchstaben und Amtsbezeich-
nung)

Teil 4
Addendum für die Beförderung von Tieren per Flugzeug

(Auszufüllen und der Veterinärbescheinigung beizufügen, wenn die Beförderung zur Grenze der
Union - auch nur teilweise - per Flugzeug erfolgt.)

Erklärung des Flugkapitäns/der Flugkapitänin des Flugzeugs

Der unterzeichnete Flugkapitän/Die unterzeichnete Flugkapitänin des Flugzeugs (Name des Flugzeugs ......................) erklärt, dass die Kiste oder der Container, die/der die in der beiliegenden Veterinärbescheinigung (Nr. .............) bezeichneten Tiere enthält, und ihre/seine Umgebung vor dem Abflug mit einem Insektizid besprüht wurden.

Geschehen zu .............................................................am .............................................................

(Abflughafen) (Abflugdatum)

(Unterschrift des Flugkapitäns/der Flugkapitänin)

(Stempel)

(Name in Großbuchstaben und Amtsbezeich-
nung)

Teil 5
Bedingungen für die Zulassung von Sammelstellen

(gemäß Artikel 4)

Zuzulassende Sammelstellen müssen folgende Bedingungen erfüllen:

I. Sie müssen unter der Aufsicht eines amtlichen Tierarztes/einer amtlichen Tierärztin stehen.

II. Sie müssen inmitten eines Gebiets von mindestens 20 km Durchmesser liegen, in dem nach amtlicher Feststellung zumindest in den letzten 30 Tagen vor ihrer Nutzung als zugelassene Sammelstellen kein Fall von Maul- und Klauenseuche aufgetreten ist.

III. Sie müssen vor jeder Nutzung als zugelassene Sammelstellen mit einem Desinfektionsmittel gereinigt und desinfiziert werden, das im Ausfuhrland amtlich zur Bekämpfung der Maul- und Klauenseuche zugelassen ist.

IV. Sie müssen unter Berücksichtigung ihrer Aufnahmekapazität Folgendes umfassen:

  1. eigene Räumlichkeiten für die Zusammenführung von Tieren;
  2. geeignete, leicht zu reinigende und zu desinfizierende Anlagen zum Verladen und Entladen, zur artgerechten Unterbringung, zur Fütterung und Tränkung sowie zur etwaigen Behandlung der Tiere;
  3. geeignete Untersuchungsräume und Isolierstationen;
  4. geeignete Ausrüstung für Reinigung und Desinfektion von Räumen und LKW;
  5. geeignete Lagerräume für Futter, Einstreu und Mist;
  6. ein geeignetes System zur Abwassersammlung und Abwasserableitung;
  7. ein Büro für den amtlichen Tierarzt/die amtliche Tierärztin.

V. Während des Betriebs müssen genügend Tierärzte/Tierärztinnen anwesend sein, um alle Aufgaben gemäß Teil 5 wahrzunehmen.

VI. Es dürfen nur Tiere aufgenommen werden, die individuell so gekennzeichnet sind, dass sich ihre Herkunft ermitteln lässt. Zu diesem Zweck muss sich der Eigentümer bzw. Betreiber einer Sammelstelle bei der Einstallung von Tieren vergewissern, dass diese ordnungsgemäß gekennzeichnet sind und ihnen Tiergesundheitsdokumente oder Tiergesundheitsbescheinigungen für die betreffende Tierart bzw. Tierkategorie beiliegen.

Darüber hinaus muss der Eigentümer bzw. Betreiber der Sammelstelle Folgendes für mindestens drei Jahre in einem Register oder in einer Datenbank erfassen: Name des Tiereigentümers, Herkunft der Tiere, Datum der Einstallung und der Ausstallung, Kennnummern der Tiere oder Registriernummer des Herkunftsbestands und des Bestimmungsbetriebs, Zulassungsnummer des Frachtführers sowie das Kennzeichen des LKW, mit dem die Tiere angeliefert bzw. abtransportiert werden.

VII. Alle Tiere, die auf eine Sammelstelle aufgetrieben werden, müssen die Tiergesundheitsanforderungen erfüllen, die für das Verbringen der betreffenden Tierkategorie in die Union gelten.

VIII. Tiere, die in die Union verbracht werden sollen und im Zuge dessen auf eine Sammelstelle aufgetrieben werden, müssen binnen sechs Tagen nach ihrem Eintreffen in der Sammelstelle verladen und unter folgenden Bedingungen auf direktem Wege zur Grenze des Ausfuhrlandes befördert werden:

  1. Sie kommen nicht mit Klauentieren in Berührung, die die Tiergesundheitsbedingungen für das Verbringen der betreffenden Tierkategorie in die Union nicht erfüllen;
  2. sie werden so aufgeteilt, dass keine Sendung gleichzeitig Zuchttiere/ Nutztiere und zur sofortigen Schlachtung bestimmte Tiere enthält;
  3. sie werden in Transportmitteln oder Containern befördert, die vor ihrer Verwendung mit einem Desinfektionsmittel gereinigt und desinfiziert wurden, das im Ausfuhrland amtlich zur Bekämpfung der Maul- und Klauenseuche zugelassen ist, und die so gebaut sind, dass Kot, Urin, Einstreu und Futter während der Beförderung nicht aus dem Transportmittel oder Container ausfließen oder herausfallen können.

IX. Sehen die Bedingungen für die Ausfuhr von Tieren in die Union vor, dass die Tiere innerhalb eines bestimmten Zeitraums vor dem Verladen untersucht werden müssen, so umfasst dieser Zeitraum höchstens sechs Tage (ab dem Datum des Eintreffens der Tiere in der zugelassenen Sammelstelle gerechnet), während deren die Tiere zusammengeführt werden.

X. Das Ausfuhrdrittland muss die Sammelstellen bestimmen, die für Zucht- und Nutztiere bzw. für Schlachttiere zugelassen werden, und der Kommission sowie den zuständigen Zentralbehörden der Mitgliedstaaten Name und Anschrift dieser Sammelstellen mitteilen. Diese Angaben sind in regelmäßigen Abständen auf den neuesten Stand zu bringen.

XI. Das Ausfuhrdrittland regelt die amtliche Aufsicht über zugelassene Sammelstellen und trägt dafür Sorge, dass diese tatsächlich beaufsichtigt werden.

XII. Die zuständige Behörde des Drittlandes hat die zugelassenen Sammelstellen regelmäßig zu inspizieren, um zu überprüfen, ob die Zulassungsbedingungen gemäß den Nummern I bis XI weiterhin erfüllt sind.

Ergibt eine derartige Inspektion, dass die genannten Bedingungen nicht mehr eingehalten werden, so muss die Zulassung der Sammelstelle ausgesetzt werden. Die Zulassung darf erst dann wieder erteilt werden, wenn sich die zuständige Behörde vergewissert hat, dass die Sammelstelle die Bedingungen gemäß den Nummern I und XI vollständig erfüllt.

Teil 6
Protokolle für die Standardisierung von Materialien und Testverfahren

(gemäß Artikel 5)

Tuberkulose

Es wird ein Intrakutan-Monotest (einmalige Applikation von Rindertuberkulin) gemäß Anhang B der Richtlinie 64/432/EWG durchgeführt. Im Fall von Tieren der Familie Suidae wird der Intrakutan-Monotest gemäß Anhang B der Richtlinie 64/432/EWG mit Geflügeltuberkulin vorgenommen, wobei sich die Injektionsstelle jedoch davon abweichend auf der losen Haut unterhalb des Ohres befindet.

Brucellose (Brucellaabortus)

Serumagglutinationstest, Komplementbindungsreaktion, gepufferter Brucella-Antigentest, Enzymimmunoassay (ELISA) und Fluoreszenz-Polarisations-Assay (FPA) werden gemäß Anhang C der Richtlinie 64/432/EWG durchgeführt.

Brucellose (Brucellamelitensis)

Es werden Tests gemäß Anhang C der Richtlinie 91/68/EWG durchgeführt.

Enzootische inderleukose

Agargel-Immundiffusionstest und ELISa werden gemäß Anhang D Kapitel II Abschnitt a und C der Richtlinie 64/432/EWG durchgeführt.

Blauzungenkrankheit

A. Der Blocking-ELISa oder der kompetitive ELISa wird nach folgendem Protokoll vorgenommen:

Mit dem kompetitiven ELISa unter Verwendung monoklonaler Antikörper (3-17-A3) lassen sich Antikörper gegen alle bekannten Serotypen des Blauzungenvirus (BTV) nachweisen.

Das Testprinzip besteht in der Unterbrechung der Reaktion zwischen dem BTV-Antigen und einem gruppenspezifischen monoklonalen Antikörper (3- 17-A3) durch die Zugabe von Testserum. BTV-Antikörper im Testserum blockieren die Reaktivität des monoklonalen Antikörpers (mAk) und bewirken nach Zugabe von enzymmarkiertem Anti-Maus-Antikörper und Chromogen/Substrat eine Abschwächung der erwarteten Farbreaktion. Seren können mit einer Einzelverdünnung von 1:5 getestet (Format Einzelverdünnung, siehe Anlage 1) oder zur Ermittlung von Verdünnungsendpunkten titriert werden (Format Serumtitration, siehe Anlage 2). Eine Hemmung von über 50 % kann als positiv gelten.

Material und Reagenzien

  1. Geeignete ELISA-Mikrotiterplatten
  2. Antigen: geliefert als Konzentrat, das aus Zellen extrahiert wurde, wie nachstehend beschrieben aufbereitet und entweder bei -20 °C oder bei -70 °C gelagert
  3. Blocking-Puffer: phosphatgepufferte Kochsalzlösung (PBS) mit 0,3 % an BTV-negativem Serum ausgewachsener Rinder, PBS mit einem Volumenanteil an Tween 20 (geliefert als Polyoxyethylensorbitanmonolaurat-Sirup) von 0,1 %
  4. mAk: 3-17-A3 (geliefert als Hybridom-Gewebekulturüberstand), gegen das gruppenspezifische Polypeptid VP7 gerichtet, bei -20 °C gelagert oder gefriergetrocknet und vor Gebrauch im Verhältnis 1:100 mit Blocking-Puffer verdünnt
  5. Konjugat: Kaninchen-anti-Maus-Globulin (adsorbiert und eluiert), mit Meerrettichperoxidase konjugiert und bei 4 °C im Dunkeln aufbewahrt
  6. Chromogen und Substrat: Ortho-Phenyldiamin (OPD-Chromogen) mit einer Endkonzentration von 0,4 mg/ml in sterilem destilliertem Wasser; Wasserstoffperoxid (Substrat mit einer Massenkonzentration von 30 %), 0,05 % (Volumenanteil) unmittelbar vor Gebrauch zugegeben (5 µl H2O2 je 10 ml OPD) (Vorsicht beim Umgang mitopD - Gummihandschuhe tragen - vermutetes Mutagen)
  7. 1-molare Schwefelsäure: Zugabe von 26,6 ml Säure zu 473,4 ml destilliertes Wasser (Merke: Stets Säure in Wasser, nie Wasser in Säure geben)
  8. Orbitalschüttler
  9. ELISA-Plattenlesegerät (das Testergebnis kann visuell abgelesen werden)

Testformat

Cc: Konjugatkontrolle (kein Serum/kein mAk); C++: stark positive Serumkontrolle; C+: schwach positive Serumkontrolle; C-: negative Serumkontrolle; Cm: mAk-Kontrolle (kein Serum).

_____
1)
ABl. 121 vom 29.07.1964 S. 1977/64.

2) ABl. Nr. L 46 vom 19.02.1991 S. 19.

.

Format Einzelverdünnung (1:5) (40 Seren/Platte) Anlage 1


Kontrollen Testseren
1 2 3 4 5 6 7 8 9 10 11 12
A Cc C- 1 2 3 4 5 6 7 8 9 10
B Cc C- 1 2 3 4 5 6 7 8 9 10
C C++ C++
D C++ C++
E C+ C+
F C+ C+
G Cm Cm 40
H Cm Cm 40

.

Format Serumtitration (10 Seren/Platte) Anlage 2


Kontrollen Testseren
1 2 3 4 5 6 7 8 9 10 11 12
A Cc C- 1:5 1:5
B Cc C- 1:10 1:10
C C++ C++ 1:20 1:20
D C++ C++ 1:40 1:40
E C+ C+ 1:80 1:80
F C+ C+ 1:160 1:160
G Cm Cm 1:320 1:320
H Cm Cm 1:640 1:640


Testprotokoll
Konjugatkontrolle (Cc): Vertiefungen 1a und 1B sind Blindkontrollen, die aus BTV-Antigen und Konjugat bestehen. Kann als Blindwert für das ELISA-Plattenlesegerät verwendet werden.
mAk-Kontrolle (Cm): Spalten 1 und 2, Reihen G und H sind mAk-Kontrollen und enthalten BTV-Antigen, mAk und Konjugat. Diese Vertiefungen entsprechen der stärksten Farbintensität. Der Mittelwert der als optische Dichte (OD) gemessenen Ergebnisse dieser Kontrolle entspricht einer Hemmung von 0 %.
Positivkontrolle (C++, C+): Spalten 1 und 2 sowie Reihen C, D, E und F. Diese Vertiefungen enthalten BTV-Antigen, stark bzw. schwach positive BTV-Antiseren, mAk und Konjugat.
Negativkontrolle (C-): Vertiefungen 2a und 2B sind die Negativkontrollen, die BTV-Antigen, negatives BTV-Antiserum, mAk und Konjugat enthalten.
Testseren: Zum Zweck umfangreicher serologischer Untersuchungen und schneller Reihenuntersuchungen können Seren mit einer Einzelverdünnung von 1:5 (siehe Anlage 1) getestet werden. Allerdings ist es auch möglich, 10 Seren in einer Verdünnungsreihe von 1:5 nach 1:640 (siehe Anlage 2) zu testen. Dies ergibt einen Anhaltspunkt für den Antikörpertiter in den Testseren.

Testdurchführung

  1. BTV-Antigen auf vortitrierte Konzentration in PBS verdünnen, zur Dispersion aggregierter Viren kurz mit Ultraschall behandeln (ist kein Sonikator vorhanden, kräftig pipettieren) und 50 µl in alle Vertiefungen der ELISA-Mikrotiterplatte geben. Antigen durch Klopfen an der Plattenseite verteilen.
  2. 60 Minuten bei 37 °C in einem Orbitalschüttler inkubieren. Platten dreimal mit nichtsteriler PBS waschen und mit Fließpapier trockentupfen.
  3. Kontrollvertiefungen: 100µl Blocking-Puffer in Cc-Vertiefungen geben. 50 µl positive und negative Kontrollseren mit einer Verdünnung von 1:5 (10 µl Seren und 40 µl Blocking-Puffer) in die jeweiligen Vertiefungen C-, C+ und C++ geben. 50 µl Blocking-Puffer in die mAk-Kontrollvertiefungen geben.

    Einzelverdünnung: Testserum mit einer Verdünnung von 1:5 (10 µl Seren und 40 µl Blocking-Puffer) im Doppelansatz in die Spalten 3 bis 12 geben;

    oder

    Serumtitration: über acht Vertiefungen einzelner Spalten von 3 bis 12 eine 2er-Verdünnungsreihe jeder Testprobe (von 1:5 nach 1:640) in Blocking-Puffer anlegen.

  4. Unmittelbar nach Zugabe der Testseren mAk im Verhältnis 1:100 in Blocking-Puffer verdünnen und 50 µl in alle Plattenvertiefungen außer Blindkontrollen geben.
  5. 60 Minuten bei 37 °C in einem Orbitalschüttler inkubieren. Dreimal mit PBS waschen und trockentupfen.
  6. Kaninchen-anti-Maus-Konzentrat auf 1:5000 in Blocking-Puffer verdünnen und 50 µl in alle Plattenvertiefungen geben.
  7. 60 Minuten bei 37 °C in einem Orbitalschüttler inkubieren. Dreimal mit PBS waschen und trockentupfen.
  8. OPD auftauen und unmittelbar vor Gebrauch 5 µl 30 %iges Wasserstoffperoxid in jede 10 ml OPD geben. 50 µl in alle Plattenvertiefungen geben. Während der Farbentwicklung ungefähr 10 Minuten stehenlassen und die Reaktion mit 1-molarer Schwefelsäure (50 µl je Vertiefung) stoppen. In den mAk-Kontrollvertiefungen und in den Vertiefungen, die Seren ohne BTV-Antikörper enthalten, sollte sich eine Farbreaktion zeigen.
  9. Ergebnisse entweder visuell oder mit einem Spektralfotometer ablesen und aufzeichnen.

Ergebnisanalyse

Mittels geeigneter Software die OD-Werte und, ausgehend von dem für die Antigenkontrollvertiefungen gemessenen Mittelwert, die Werte der Hemmung in Prozent (percentage inhibition, PI) für Test- und Kontrollseren ausdrucken. Anhand der als OD- und PI-Werte ausgedrückten Daten lässt sich bestimmen, ob der Test innerhalb akzeptabler Grenzen durchgeführt wurde. Die oberen und unteren Kontrollgrenzen für die mAk-Kontrolle (mangels Testseren Antigen plus mAk) liegen zwischen den OD-Werten 0,4 und 1,4. Alle Platten, die die genannten Kriterien nicht erfüllen, sind zu verwerfen.

Falls keine geeignete Software zur Verfügung steht, OD-Werte mit einem ELISA-Drucker ausdrucken. Den OD-Mittelwert für die Antigenkontrollvertiefungen, der dem 100 %-Wert entspricht, berechnen. Den 50 %-OD-Wert bestimmen und die Positivität und Negativität jeder Probe manuell berechnen.

PI-Wert = 100 - (OD jeder Testkontrolle: OD-Mittelwert von Cm) × 100.

Die Vertiefungen der Negativkontrolle und der Blindkontrolle (jeweils Doppelbestimmung) müssen PI-Werte zwischen +25 % und -25 % bzw. zwischen +95 % und +105 % zeigen. Werte außerhalb dieser Grenzen machen das Ergebnis der Platte zwar nicht ungültig, lassen jedoch vermuten, dass sich eine Hintergrundfärbung ausbildet. Die stark und schwach positiven Kontrollseren müssen PI-Werte zwischen +81 % und +100 % bzw. zwischen +51 % und +80 % zeigen.

Der diagnostische Schwellenwert für Testseren beträgt 50 % (PI von 50 % oder OD von 50 %). Proben mit PI-Werten über 50 % werden als negativ verzeichnet. Proben mit PI-Werten über oder unter dem Schwellenwert für die Doppelbestimmung gelten als zweifelhaft; sie können in einer Einzelverdünnung und/oder durch Serumtitration erneut analysiert werden. Positive Proben können ebenfalls titriert werden, damit ein Anhaltspunkt für den Grad der Positivität ermittelt wird.

Visuelles Ablesen: Positive und negative Proben lassen sich leicht mit bloßem Auge erkennen; schwach positive oder stark negative Proben sind mitunter mit bloßem Auge schwerer auszuwerten.

Aufbereitung des BTV-ELISA-Antigens

  1. 40 bis 60 Kulturkolben nach Roux, die konfluente BHK-21-Zellen enthalten, dreimal mit serumfreiem Medium nach Eagle waschen und mit Blauzungenvirus (Serotyp 1) in serumfreiem Medium nach Eagle infizieren.
  2. Bei 37 °C inkubieren und täglich auf zytopathischen Effekt untersuchen.
  3. Ist der zytopathische Effekt bei 90 % bis 100 % des Zellrasens jedes Roux-Kulturkolbens vollständig, das Virus durch Abschütteln etwaiger noch am Glas haftender Zellen ernten.
  4. Zum Pelletieren der Zellen bei 2.000 bis 3.000 U/min zentrifugieren.
  5. Überstand verwerfen und die Zellen in ungefähr 30 ml PBS mit 1 % "Sarkosyl" und 2 ml Phenylmethylsulphonylfluorid (Lysepuffer) resuspendieren. Dies kann dazu führen, dass die Zellen ein Gel bilden; zur Verringerung dieses Effekts kann mehr Lysepuffer zugegeben werden.
    (Hinweis: Phenylmethylsulphonylfluorid ist gesundheitsschädlich - mit äußerster Vorsicht verwenden.)
  6. Die Zellen 60 Sekunden mit einer Ultraschallsonde bei 30 Mikron Amplitude lösen.
  7. 10 Minuten bei 10.000 U/min zentrifugieren.
  8. Den Überstand bei +4 °C lagern und das verbleibende Zellpellet in 10 bis 20 ml Lysepuffer resuspendieren.
  9. Insgesamt dreimal mit Ultraschall behandeln und klären; dabei den Überstand in jeder Phase lagern.
  10. Die Überstände poolen und mit einer Beckmann-Zentrifuge (30-ml-Röhrchen und SW-28-Rotor) 120 Minuten bei 24.000 U/min (100,000 g) und +4 °C über einem 5-ml-Kissen Saccharoselösung (40 % Massenkonzentration in PBS) zentrifugieren.
  11. Überstand verwerfen, Röhrchen gründlich ausspülen und das Pellet in PBS durch Ultraschallbehandlung resuspendieren. Das Antigen aliquotieren und bei -20 °C lagern.

Titration des BTV-ELISA-Antigens

Das BTV-ELISA-Antigen wird mit Hilfe des indirekten ELISa titriert. 2er- Antigenverdünnungen werden gegen eine konstante Verdünnung (1:100) monoklonaler Antikörper 3-17-A3 titriert. Protokoll:

  1. BTV-Antigen, 1:20 in PBS verdünnt, mit einer Mehrkanalpipette in einer 2er-Verdünnungsreihe (50 µl je Vertiefung) über die gesamte Mikrotiterplatte titrieren.
  2. Eine Stunde bei 37 °C auf einem Orbitalschüttler inkubieren.
  3. Mikrotiterplatte dreimal mit PBS waschen.
  4. In jede Vertiefung der Mikrotiterplatte 50 µl mAk 3-17-A3 (1:100 verdünnt) geben.
  5. Eine Stunde bei 37 °C auf einem Orbitalschüttler inkubieren.
  6. Mikrotiterplatte dreimal mit PBS waschen.
  7. 50 µl Kaninchen-anti-Maus-Globulin, mit Meerrettichperoxidase konjugiert und in einer vortitrierten optimalen Konzentration verdünnt, in jede Vertiefung der Mikrotiterplatte geben.
  8. Eine Stunde bei 37 °C auf einem Orbitalschüttler inkubieren.
  9. Wie vorstehend beschrieben Substrat und Chromogen zugeben. Die Reaktion nach 10 Minuten durch Zugabe von 1-molarer Schwefelsäure (50 µl je Vertiefung) stoppen.

Beim kompetitiven ELISa muss ein Überschuss an mAk vorhanden sein; daher wird eine Antigenverdünnung gewählt, die auf der Titrationskurve (nicht auf dem Plateau) liegt und nach 10 Minuten ungefähr eine OD von 0,8 ergibt.

B.Der Agargel-Immundiffusionstest wird nach folgendem Protokoll durchgeführt:

Antigen

Das präzipitierende Antigen kann in jeder Zellkultur aufbereitet werden, in der sich ein Referenzstamm des Blauzungenvirus schnell vermehren kann. Es werden BHK-Zellen oder Vero-Zellen empfohlen. Das Antigen ist am Ende der Vermehrung des Virus im Überstand vorhanden, erfordert jedoch eine 50fache bis 100fache Konzentration, um wirksam zu sein. Dies kann mit jedem Standard-Proteinkonzentrationsverfahren erreicht werden; Viren im Antigen können durch Zugabe von 0,3 % ß-Propiolacton (Volumenanteil) inaktiviert werden.

Bekanntes positives Kontrollserum

Unter Verwendung des internationalen Referenzserums und Referenzantigens wird ein nationales Standardserum hergestellt, für ein optimales Verhältnis gegenüber dem internationalen Referenzserum standardisiert, gefriergetrocknet und bei jedem Test als das bekannte positive Kontrollserum verwendet.

Testserum

Testdurchführung: 1 % Agarose, in Borat oder Natriumbarbitolpuffer (pH-Wert zwischen 8,5 und 9,0) aufbereitet, in eine Petrischale gießen (Mindesttiefe 3,0 mm). Ein Testschema von sieben feuchtigkeitsfreien Vertiefungen mit einem Durchmesser von jeweils 5,0 mm in den Agar stanzen. Das Schema besteht aus einer Vertiefung in der Mitte und sechs (im Radius von 3 cm) kreisförmig angeordneten Vertiefungen. Das Standardantigen in die mittlere Vertiefung geben. In die äußeren Vertiefungen 2, 4 und 6 bekanntes positives Kontrollserum, in die Vertiefungen 1, 3 und 5 die Testseren geben. Die so vorbereitete Platte bis zu 72 Stunden bei Raumtemperatur in einer geschlossenen feuchten Kammer inkubieren.
Auswertung: Ein Testserum ist positiv, wenn sich gegen das Antigen eine spezifische Präzipitatlinie und gegen das Kontrollserum eine durchgehende Identitätslinie ausbildet. Ein Testserum ist negativ, wenn sich keine spezifische Präzipitatlinie gegen das Antigen ausbildet und die Linie des Kontrollserums nicht gebogen ist. Die Petrischalen müssen bei indirekter Beleuchtung gegen einen dunklen Hintergrund untersucht werden.

Epizootische Hämorrhagie der Hirsche (EHD)

Der Agargel-Immundiffusionstest wird nach folgendem Protokoll durchgeführt:

Antigen

Das präzipitierende Antigen kann in jeder Zellkultur aufbereitet werden, in der sich der jeweilige Serotyp bzw. die jeweiligen Serotypen des EHD-Virus schnell vermehren kann/können. Es werden BHK-Zellen oder Vero-Zellen empfohlen. Das Antigen ist am Ende der Vermehrung des Virus im Überstand vorhanden, erfordert jedoch eine 50fache bis 100fache Konzentration, um wirksam zu sein. Dies kann mit jedem Standard-Proteinkonzentrationsverfahren erreicht werden; Viren im Antigen können durch Zugabe von 0,3 % ß-Propiolacton (Volumenanteil) inaktiviert werden.

Bekanntes positives Kontrollserum

Unter Verwendung des internationalen Referenzserums und Referenzantigens wird ein nationales Standardserum hergestellt, für ein optimales Verhältnis gegenüber dem internationalen Referenzserum standardisiert, gefriergetrocknet und bei jedem Test als das bekannte positive Kontrollserum verwendet.

Testserum

Testdurchführung: 1 % Agarose, in Borat oder Natriumbarbitolpuffer (pH-Wert zwischen 8,5 und 9,0) aufbereitet, in eine Petrischale gießen (Mindesttiefe 3,0 mm). Ein Testschema von sieben feuchtigkeitsfreien Vertiefungen mit einem Durchmesser von jeweils 5,0 mm in den Agar stanzen. Das Schema besteht aus einer Vertiefung in der Mitte und sechs (im Radius von 3 cm) kreisförmig angeordneten Vertiefungen. Das Standardantigen in die mittlere Vertiefung geben. In die äußeren Vertiefungen 2, 4 und 6 bekanntes positives Kontrollserum, in die Vertiefungen 1, 3 und 5 die Testseren geben. Die so vorbereitete Platte bis zu 72 Stunden bei Raumtemperatur in einer geschlossenen feuchten Kammer inkubieren.
Auswertung: Ein Testserum ist positiv, wenn sich gegen das Antigen eine spezifische Präzipitatlinie und gegen das Kontrollserum eine durchgehende Identitätslinie ausbildet. Ein Testserum ist negativ, wenn sich keine spezifische Präzipitatlinie gegen das Antigen ausbildet und die Linie des Kontrollserums nicht gebogen ist. Die Petrischalen müssen bei indirekter Beleuchtung gegen einen dunklen Hintergrund untersucht werden.

Infektiöse bovine Rhinotracheitis/infektiöse pustulöse Vulvovaginitis

A. Der Serumneutralisationstest wird nach folgendem Protokoll durchgeführt:

Serum: Alle Seren vor Gebrauch 30 Minuten bei 56 °C inaktivieren.
Testdurchführung: Für den Serumneutralisationstest mit variierendem Virustiter auf Mikrotiterplatten MDBK-Zellen oder andere empfängliche Zellen verwenden. Den colorado-Stamm, Oxford-Stamm oder einen anderen Referenzstamm des Virus bei 100 TCID50 je 0,025 ml verwenden; inaktivierte unverdünnte Serumproben mit einem gleichen Volumen (0,025 ml) Virussuspension mischen. Vor Zugabe der MDBK-Zellen die Virus-Serum-Gemische 24 Stunden bei 37 °C auf den Mikrotiterplatten inkubieren. Die Zellen in einer Konzentration verwenden, die gewährleistet, dass sich nach 24 Stunden eine Monolayerkultur ausbildet.
Kontrollen: i) Prüfung der Infektiosität des Virus, ii) Kontrolle der Serumtoxizität, iii) Kontrolle der unbeimpften Zellkulturen, iv) Referenzantiseren.
Auswertung: Die Ergebnisse des Neutralisationstests und der Titer des beim Test verwendeten Virus werden nach 3- bis 6-tägiger Inkubation bei 37 °C abgelesen. Serumtiter gelten als negativ, wenn bei einer Verdünnung von 1:2 (unverdünntes Serum) keine Neutralisationsreaktion eintritt.

B. Jeder andere Test, der gemäß der Entscheidung 2004/558/EG 1 anerkannt ist.

Maul- und Klauenseuche (MKS)

A. Proben aus Ösophagus/Pharynx werden nach folgendem Protokoll entnommen und getestet:

Reagenzien: Vor der Probenahme das Transportmedium vorbereiten. Jeweils ein Volumen von 2 ml in so viele Behältnisse geben, wie Tiere zu untersuchen sind. Die Behältnisse müssen gefrierfest und zur Beförderung über festem CO2 oder flüssigem Stickstoff geeignet sein. Die Probenahme erfolgt mit einem speziell konzipierten Probang-Gerät. Zur Probenahme den Becher des Probang-Gerätes durch das Maul über den Zungenrücken in den oberen Teil des Ösophagus einführen. Durch lateral und dorsal gerichtete Bewegungen wird versucht, das Oberflächenepithel des oberen Ösophagus und des Pharynx abzuschilfern. Das Probang-Gerät herausnehmen (falls möglich, nachdem das Tier geschluckt hat). Der Becher muss voll sein und ein Gemisch aus Schleim, Speichel, Ösophagopharyngeal-Flüssigkeit und Zellmaterial enthalten. Es muss sichergestellt werden, dass jede Probe eine gewisse Menge sichtbares Zellmaterial enthält. Eine grobe, Blutungen verursachende Behandlung des Tieres ist zu vermeiden. Bei bestimmten Tieren sind die Proben möglicherweise stark mit Panseninhalt verunreinigt. Solche Proben sind zu verwerfen, und vor Wiederholung der Probenahme muss das Maul des Tieres mit Wasser oder vorzugsweise mit physiologischer Kochsalzlösung gespült werden.
Behandlung der Proben: Jede Probe, die mit dem Probang-Becher entnommen wurde, auf ihre Qualität prüfen; ein Volumen von 2 ml mit einem gleichen Volumen Transportmedium in ein gefrierfestes Behältnis geben. Die Behältnisse fest verschließen, versiegeln, desinfizieren und beschriften. Die Proben kühl (+4 °C) aufbewahren und innerhalb drei bis vier Stunden untersuchen oder bis zur Untersuchung auf Trockeneis (-69 °C) oder flüssigem Stickstoff gefroren halten. Zwischen den einzelnen Probenahmen das Probang-Gerät desinfizieren und dreimal mit sauberem Wasser spülen.
Test auf MKS-Virus: Primäre Kulturen aus Rinderschilddrüsenzellen mit den Proben beimpfen (mindestens drei Röhrchen je Probe). Auch andere empfängliche Zellen, etwa primäre Rindernieren- oder Schweinenierenzellen, können verwendet werden; es ist jedoch zu beachten, dass Letztere für bestimmte Stämme des MKS-Virus weniger empfindlich sind. Die Röhrchen bei 37 °C im Rollerapparat inkubieren und 48 Stunden lang täglich auf zytopathischen Effekt untersuchen. Negative Kulturen durch Blindpassage auf frische Kulturen übertragen und erneut 48 Stunden lang untersuchen. Die Spezifität jedes zytopathischen Effekts muss bestätigt werden.

Empfohlene Transportmedien:

  1. 0,08-molarer Phosphatpuffer, pH-Wert 7,2, mit 0,01 % Rinderserumalbumin, 0,002 % Phenolrot und Antibiotika.
  2. Zellkulturmedium (z.B. Eagle's MEM) mit 0,04-molarem HEPES-Puffer, 0,01 % Rinderserumalbumin und Antibiotika, pH-Wert 7,2.
  3. Dem Transportmedium müssen Antibiotika (je ml fertige Lösung) zugesetzt werden, z.B. 1000 IE Penicillin, 100 IE Neomycinsulfat, 50 IE Polymyxin-B-Sulfat oder 100 IE Nystatin.

B. Der Virusneutralisationstest wird nach folgendem Protokoll durchgeführt:

Reagenzien: MKS-Virus-Antigen in Zellkulturen oder auf Rinderzungen aufbereiten und bei -70 °C oder weniger oder nach Zugabe einer Lösung mit 50 % Glycerol bei -20 °C lagern und als Vorratsantigen verwenden. Das MKS- Virus ist unter diesen Bedingungen stabil, und Titer sind über Monate hinweg wenig veränderlich.
Testdurchführung: Der Test wird mit empfänglichen Zellen wie IB-RS-2-Zellen, BHK-21-Zellen oder Kälbernierenzellen auf flachgrundigen Mikrotiterplatten durchgeführt. Die Testseren 1:4 in serumfreiem Zellkulturmedium unter Zugabe von 100 IE/ml Neomycin oder anderer geeigneter Antibiotika verdünnen. Die Seren 30 Minuten bei 56 °C inaktivieren, mit jeweils 0,05 ml unter Verwendung von 0,05-ml-Ösen 2er-Verdünnungsreihen auf Mikrotiterplatten anlegen. In jede Vertiefung vortitrierte Viren geben, die ebenfalls in serumfreiem Zellkulturmedium verdünnt wurden und 100 TCID50 je 0,05 ml enthalten. Nach einer für die Neutralisationsreaktion erforderlichen Inkubation von einer Stunde bei 37 °C in jede Vertiefung 0,05 ml Suspensionszellen mit 0,5 × 106 bis 1,0 × 106 Zellen je 1 ml in Zellkulturmedium, das MKS-Virusantikörperfreies Serum enthält, geben und die Mikrotiterplatten versiegeln. Mikrotiterplatten bei 37 °C inkubieren. Monolayer sind normalerweise binnen 24 Stunden konfluent. Der zytopathische Effekt ist nach 48 Stunden in der Regel so stark ausgeprägt, dass er sich unter dem Mikroskop ablesen lässt. Zu diesem Zeitpunkt kann eine endgültige mikroskopische Ablesung erfolgen, oder die Platten können fixiert und zur makroskopischen Ablesung beispielsweise mit einer Lösung mit 10 % Formol-Kochsalz und 0,05 % Methylenblau angefärbt werden.
Kontrollen: Die Kontrollen bei jedem Test umfassen ein homologes Antiserum mit bekanntem Titer, eine Zellkontrolle, eine Kontrolle der Serumtoxizität, eine Mediumkontrolle und eine Virustitration, auf deren Grundlage die beim Test tatsächlich verwendete Virusmenge berechnet wird.
Auswertung: Vertiefungen mit Anzeichen eines zytopathischen Effekts gelten als infiziert, und Neutralisationstiter werden ausgedrückt als reziproker Wert der in den Serum-Virus-Gemischen am 50 %-Endpunkt (geschätzt nach der Spearman-Kärber-Methode; Kärber, G., "Beitrag zur kollektiven Behandlung pharmakologischer Reihenversuche", in Archiv für Experimentelle Pathologie und Pharmakologie 162 (1931), S. 480) vorhandenen Endverdünnung des Serums. Testergebnisse sind gültig, wenn die beim Test tatsächlich je Vertiefung verwendete Virusmenge zwischen 101,5 TCID50 und 102,5 TCID50 ausmacht und der Titer des Referenzserums höchstens das Zweifache des erwarteten Titers beträgt (geschätzt auf der Grundlage früherer Titrationen). Liegen die Ergebnisse außerhalb dieser Grenzen, so müssen die Tests wiederholt werden. Ein Endpunkttiter von 1:11 oder weniger gilt als negativ.

C. Der ELISa zum Nachweis und zur Quantifizierung von Antikörpern wird nach folgendem Protokoll durchgeführt:

Reagenzien: Kaninchen-Antiseren gegen 146S-Antigen von sieben typen des MKS-Virus, verwendet in vorbestimmter optimaler Konzentration in Cabonat-/Bicarbonat-Puffer, pH-Wert 9,6. Antigene aus ausgewählten Virusstämmen aufbereiten, die auf Monolayern von BHK-21-Zellen angezüchtet wurden. Die nicht gereinigten Überstände nach dem vorgegebenen Protokoll, jedoch ohne Serum, verwenden und vortitrieren, um eine Verdünnung zu erhalten, die nach Zugabe eines gleichen Volumens PBST (phosphatgepufferte Kochsalzlösung mit 0,05 % Tween 20 und Phenolrot-Indikator) ein OD-Ergebnis zwischen 1,2 und 1,5 liefert. Die Viren können inaktiviert verwendet werden. PBST als Verdünnungsmittel verwenden. Meerschweinchen-Antiseren durch Beimpfung von Meerschweinchen mit 146S-Antigen jedes Serotyps aufbereiten. In PBST mit 10 % normalem Rinderserum und 5 % normalem Kaninchenserum eine vorbestimmte optimale Konzentration herstellen. Mit Meerrettichperoxidase konjugiertes Kaninchen-anti-Meerschweinchen-Immunglobulin in vorbestimmter optimaler Konzentration in PBST mit 10 % normalem Rinderserum und 5 % normalem Kaninchenserum verwenden. Die Testseren in PBST verdünnen.

Testdurchführung:

  1. ELISA-Mikrotiterplatten in einer feuchten Kammer bei Raumtemperatur mit 50 µl Kaninchen-Antiseren beschichten und über Nacht stehen lassen.
  2. In U-förmigen Mikrotiterplatten (Trägerplatten) 50 µl einer doppelten 2er-Verdünnungsreihe jedes Testserums, beginnend mit 1:4, vorbereiten. 50 µl einer konstanten Antigendosis in jede Vertiefung geben und die Gemische über Nacht bei 4 °C stehenlassen. Durch Zugabe des Antigens verringert sich die Verdünnung des Ausgangsserums auf 1:8.
  3. Die ELISA-Mikrotiterplatten fünfmal mit PBST waschen.
  4. 50 µl der Serum-Antigen-Gemische von den Trägerplatten auf die mit Kaninchenserum beschichteten ELISA-Mikrotiterplatten übertragen und eine Stunde bei 37 °C auf einem Orbitalschüttler inkubieren.
  5. Nach dem Waschen in jede Vertiefung 50 µl Meerschweinchen-Antiserum gegen das Antigen gemäß Nummer 4 geben. Platten eine Stunde bei 37 °C auf einem Orbitalschüttler inkubieren.
  6. Platten waschen und in jede Vertiefung 50 µl mit Meerrettichperoxidase konjugiertes Kaninchen-anti-Meerschweinchen-Immunglobulin geben. Platten eine Stunde bei 37 °C auf einem Orbitalschüttler inkubieren.
  7. Platten waschen und in jede Vertiefung 50 µl OPD mit 0,05 % H2O2 (Massenkonzentration 30 %) geben.
  8. Reaktion nach 15 Minuten mit 1,25-molarer H2SO4 stoppen.

Platten mit einem Spektralfotometer bei 492 nm auf einem ELISA-Plattenlesegerät ablesen, das an einen Mikrocomputer angeschlossenen ist.

Kontrollen: Für jedes verwendete Antigen 40 serumfreie Vertiefungen mit in PBST verdünntem Antigen. Eine doppelte 2er-Verdünnungsreihe mit homologem Rinderreferenzantiserum. Eine doppelte 2er-Verdünnungsreihe mit negativem Rinderserum.
Auswertung: Antikörpertiter werden ausgedrückt als die Endverdünnung des Testserums, die 50 % des OD-Mittelwertes für die Viruskontrollvertiefungen ohne Testserum ergibt. Titer über 1:40 gelten als positiv.
Literaturhinweise: Hamblin, C., Barnett, I. T. R., Hedger, R. S., "a new enzymelinked immunosorbent assay (ELISA) for the detection of antibodies against footandmouth disease virus I. Development and method of ELISA", in Journal of Immunological Methods 93 (1986), Nr. 1, S. 115-121

Aujeszky - Krankheit (AK)

A. Der Serumneutralisationstest wird nach folgendem Protokoll durchgeführt:

Serum: Alle Seren vor Gebrauch 30 Minuten bei 56 °C inaktivieren.
Testdurchführung: Für den Serumneutralisationstest mit variierendem Virustiter auf Mikrotiterplatten Vero-Zellen oder andere empfängliche Zellen verwenden. Das AK-Virus bei 100 TCID50 je 0,025 ml verwenden; inaktivierte unverdünnte Serumproben mit einem gleichen Volumen (0,025 ml) Virussuspension mischen. Vor Zugabe der geeigneten Zellen die Virus-Serum-Gemische zwei Stunden bei 37 °C auf den Mikrotiterplatten inkubieren. Die Zellen in einer Konzentration verwenden, die gewährleistet, dass sich nach 24 Stunden eine Monolayerkultur ausbildet.
Kontrollen: i) Prüfung der Infektiosität des Virus, ii) Kontrolle der Serumtoxizität, iii) Kontrolle der unbeimpften Zellkulturen, iv) Referenzantiseren.
Auswertung: Die Ergebnisse des Neutralisationstests und der Titer des beim Test verwendeten Virus werden nach 3- bis 7-tägiger Inkubation bei 37 °C abgelesen. Serumtiter von weniger als 1:2 (unverdünntes Serum) gelten als negativ.

B. Jeder andere Test, der gemäß der Entscheidung 2008/185/EG 2 anerkannt ist.

Transmissible Gastroenteritis (TGE)

Der Serumneutralisationstest wird nach folgendem Protokoll durchgeführt:

Serum: Alle Seren vor Gebrauch 30 Minuten bei 56 °C inaktivieren.
Testdurchführung: Für den Serumneutralisationstest mit variierendem Virustiter auf Mikrotiterplatten A72-Zellen (Hundetumorzellen) oder andere empfängliche Zellen verwenden. Das TGE-Virus bei 100 TCID50 je 0,025 ml verwenden; inaktivierte unverdünnte Serumproben mit einem gleichen Volumen (0,025 ml) Virussuspension mischen. Vor Zugabe der geeigneten Zellen die Virus-Serum-Gemische 30 bis 60 Minuten bei 37°C auf den Mikrotiterplatten inkubieren. Die Zellen in einer Konzentration verwenden, die gewährleistet, dass sich nach 24 Stunden eine Monolayerkultur ausbildet. Jeder Zelle 0,1 ml Zellsuspension zugeben.
Kontrollen: i) Prüfung der Infektiosität des Virus, ii) Kontrolle der Serumtoxizität, iii) Kontrolle der unbeimpften Zellkulturen, iv) Referenzantiseren.
Auswertung: Die Ergebnisse des Neutralisationstests und der Titer des beim Test verwendeten Virus werden nach 3- bis 5-tägiger Inkubation bei 37 °C abgelesen. Serumtiter von weniger als 1:2 (Endverdünnung) gelten als negativ. Wirken unverdünnte Serumproben auf die Gewebekulturen toxisch, so können diese Seren vor Gebrauch im Test 1:2 verdünnt werden. Die entspricht einer Endverdünnung des Serums von 1:4. In diesen Fällen gelten Serumtiter von weniger als 1:4 (Endverdünnung) als negativ.

Vesikuläre Schweinekrankheit

Tests auf vesikuläre Schweinekrankheit werden gemäß der Entscheidung 2000/428/EG 3 durchgeführt.

Klassische Schweinepest

Tests auf klassische Schweinepest werden gemäß der Entscheidung 2002/106/EG 4 durchgeführt.

Für Tests auf klassische Schweinepest gelten die Leitlinien gemäß dem einschlägigen Kapitel des OIE-Handbuchs zu Untersuchungsmethoden und Vakzinen für Landtiere.

Sensitivität und Spezifität des serologischen Tests auf klassische Schweinepest sind in einem nationalen Labor zu bewerten, das über ein Qualitätssicherungssystem verfügt. Die angewandten Testverfahren müssen nachweislich die Erkennung einer Reihe schwach und stark positiver Referenzseren sowie den Antikörpernachweis im frühen Krankheitsstadium und in der Rekonvaleszenzphase ermöglichen.

Vesikuläre Stomatitis (VS)

Der Virusneutralisationstest wird gemäß den Testprotokollen für die vesikuläre Stomatitis in Kapitel 2.1.19 des OIE-Handbuchs mit Normenempfehlungen zu Diagnosemethoden und Vakzinen für Landtiere durchgeführt.

Bei Seren, die bei einer Verdünnung von mindestens 1:32 einen zytopathischen Effekt verhindern, wird davon ausgegangen, dass sie Antikörper gegen das Virus der vesikulären Stomatitis enthalten.

Teil 7
Einfuhr- und Quarantänebedingungen für Tiere, die weniger als sechs Monate vor ihrem Verbringen in die Union nach St. Pierre und Miquelon eingeführt wurden

(gemäß Artikel 6)

Betroffene Tierarten

Taxon
ORDNUNG FAMILIE GATTUNG/ART
Artiodactyla Camelidae Camelus spp., Lama spp., Vicugna spp.

Kapitel 1
Haltung und Quarantäne

1. Tiere, die nach St. Pierre und Miquelon eingeführt wurden, müssen vor ihrer Versendung zum Verbringen in die Union mindestens 60 Tage lang in einer zugelassenen Quarantänestation gehalten werden. Dieser Zeitraum kann bei einzelnen Tierarten je nach Testanforderungen verlängert werden. Darüber hinaus müssen die Tiere folgende Anforderungen erfüllen:

  1. Verschiedene Sendungen können gleichzeitig in die Quarantänestation aufgenommen werden. Nach der Einstallung müssen jedoch alle Tiere ein und derselben Art als eine zusammengehörige Gruppe angesehen und als solche bezeichnet werden. Die Quarantäne muss für die gesamte Gruppe zu dem Zeitpunkt beginnen, an dem das letzte Tier in die Quarantänestation eingestallt wurde.
  2. Innerhalb der Quarantänestation sind die einzelnen Tiergruppen so zu halten, dass sie weder direkt noch indirekt mit anderen Tieren in Berührung kommen, einschließlich etwaiger Tiere, die zu anderen Sendungen gehören.

    Jede Sendung muss in der zugelassenen Quarantänestation verbleiben und vor Vektorinsekten geschützt werden.

  3. Wird eine Tiergruppe während des Zeitraums der Quarantäne nicht lückenlos isoliert und kommen die Tiere mit anderen Tieren in Berührung, so muss die Quarantäne für denjenigen Zeitraum erneut beginnen, der ursprünglich zum Zeitpunkt der Einstallung in die Quarantänestation festgelegt wurde.
  4. Tiere, die in die Union verbracht werden sollen und im Zuge dessen in die Quarantänestation eingestallt werden, sind unter folgenden Bedingungen zu verladen und auf direktem Wege in die Union zu versenden:
    1. Sie kommen nicht mit Tieren in Berührung, die die Tiergesundheitsbedingungen für das Verbringen der betreffenden Tierkategorie in die Union nicht erfüllen;
    2. sie sind so auf Sendungen aufgeteilt, dass die Tiere keiner Sendung mit Tieren in Berührung kommen können, die für die Einfuhr in die Union nicht in Frage kommen;
    3. sie werden in Transportmitteln oder Containern befördert, die vor ihrer Verwendung mit einem Desinfektionsmittel gereinigt und desinfiziert wurden, das in St. Pierre und Miquelon amtlich zur Bekämpfung der Krankheiten gemäß Kapitel 2 zugelassen ist, und die so gebaut sind, dass Kot, Urin, Einstreu und Futter während der Beförderung nicht aus dem Transportmittel oder Container ausfließen oder herausfallen können.

2. Die Quarantäneeinrichtungen müssen zumindest die Mindestanforderungen gemäß Anhang B der Richtlinie 91/496/EWG 5 sowie die folgenden Bedingungen erfüllen:

  1. Sie müssen unter der Aufsicht eines amtlichen Tierarztes/einer amtlichen Tierärztin stehen;
  2. sie müssen inmitten eines Gebiets von mindestens 20 km Durchmesser liegen, in dem nach amtlicher Feststellung zumindest in den letzten 30 Tagen vor ihrer Nutzung als Quarantänestation kein Fall von Maul- und Klauenseuche aufgetreten ist;
  3. sie müssen vor ihrer Nutzung als Quarantänestation mit einem Desinfektionsmittel gereinigt und desinfiziert werden, das in St. Pierre und Miquelon amtlich zur Bekämpfung der Krankheiten gemäß Kapitel 2 zugelassen ist;
  4. sie müssen unter Berücksichtigung ihrer Aufnahmekapazität Folgendes umfassen:
    1. eigene Räumlichkeiten für die Quarantäne von Tieren, einschließlich artgerechter Stallungen;
    2. geeignete Anlagen, die
      - leicht gründlich zu reinigen und zu desinfizieren sind,
      - ein sicheres Verladen und Entladen ermöglichen,
      - die alle Anforderungen an die Fütterung und Tränkung der Tiere erfüllen,
      - die alle erforderlichen tierärztlichen Behandlungen ermöglichen;
    3. geeignete Untersuchungsräume und Isolierstationen;
    4. geeignete Ausrüstung für Reinigung und Desinfektion von Räumen und Transportmitteln;
    5. geeignete Lagerräume für Futter, Einstreu und Mist;
    6. ein geeignetes System zur Abwassersammlung;
    7. ein Büro für den amtlichen Tierarzt/die amtliche Tierärztin;
  5. während des Betriebs müssen genügend Tierärzte/Tierärztinnen anwesend sein, um alle Aufgaben wahrzunehmen;
  6. es dürfen nur Tiere eingestallt werden, die individuell so gekennzeichnet sind, dass sich ihre Herkunft ermitteln lässt; zu diesem Zweck muss sich der Eigentümer bzw. Betreiber einer Quarantänestation bei der Einstallung von Tieren vergewissern, dass diese ordnungsgemäß gekennzeichnet sind und ihnen Tiergesundheitsbescheinigungen für die betreffende Tierart bzw. Tierkategorie beiliegen; darüber hinaus muss der Eigentümer bzw. Betreiber der Quarantänestation Folgendes für mindestens drei Jahre in einem Register oder in einer Datenbank erfassen: Name des Tiereigentümers, Herkunft der zu der Sendung gehörenden Tiere, Datum der Einstallung und der Ausstallung dieser Tiere, Kennnummern dieser Tiere und Bestimmungsort;
  7. die zuständige Behörde muss die amtliche Aufsicht über die Quarantänestationen regeln und dafür Sorge tragen, dass diese tatsächlich beaufsichtigt werden; unter anderem sind die Quarantänestationen regelmäßig zu inspizieren, damit überprüft werden kann, ob die Zulassungsbedingungen weiterhin erfüllt sind; bei Nichterfüllung der Zulassungsbedingungen und bei Aussetzung der Zulassung darf die Zulassung erst dann wieder erteilt werden, wenn sich die zuständige Behörde vergewissert hat, dass die Quarantäneeinrichtungen alle Bedingungen gemäß den Buchstaben a bis g erfüllen.

Kapitel 2
Untersuchungen der Tiergesundheit

1. Allgemeine Anforderungen

Die Tiere sind den nachstehend beschriebenen Untersuchungen zu unterziehen; dazu werden - sofern nicht anderweitig geregelt - frühestens 21 Tage nach dem Tag, an dem die Quarantäne beginnt, Blutproben entnommen.

Die Laboruntersuchungen erfolgen in einem zugelassenen Labor in der Union; eine Beschreibung aller durchgeführten Laboruntersuchungen, Untersuchungsergebnisse, Impfungen und Behandlungen sind der Tiergesundheitsbescheinigung beizufügen.

Damit die Belastung der Tiere auf ein Minimum begrenzt wird, sind Probenahmen, Tests und etwaige Impfungen unter Beachtung der Mindestzeitabstände gemäß den Testprotokollen in Teil 2 so weit möglich zusammenzufassen.

2. Besondere Anforderungen

2.1 Camelidae

2.1.1 Tuberkulose

  1. Testverfahren: Intrakutan-Simultantest unter Verwendung von PPD- Rindertuberkulin und PPD-Geflügeltuberkulin im Einklang mit den Standards für die Herstellung von Rinder- und Geflügeltuberkulin gemäß Anhang B Nummer 2.1.2 der Richtlinie 64/432/EWG.

    Die Injektion ist hinter der Schulterblattgräte (Achselgegend) nach dem Verfahren gemäß Anhang B Nummer 2.2.4 der Richtlinie 64/432/EWG zu verabreichen.

  2. Zeitplan: Die Tiere sind binnen zwei Tagen nach dem Tag ihrer Einstallung in die Quarantänestation einem Test zu unterziehen sowie 42 Tage nach dem Tag des ersten Tests erneut zu untersuchen.
  3. Auswertung der Ergebnisse:

    Die Reaktion gilt als

  4. Mögliche Maßnahmen nach der Untersuchung:

    Reagiert ein Tier auf das intrakutan injizierte PPD-Rindertuberkulin positiv, so wird dieses Tier aus der Gruppe ausgeschlossen, und die verbleibenden Tiere werden frühestens 42 Tage nach dem Tag des ersten Tests mit positivem Ergebnis erneut untersucht, was dann als erster Test im Sinne des Buchstaben b gilt.

    Reagieren mehrere Tiere der Gruppe positiv, so wird die gesamte Gruppe von der Ausfuhr in die Union ausgeschlossen.

    Zeigen ein oder mehrere Tiere derselben Gruppe eine zweifelhafte Reaktion, so wird die gesamte Gruppe frühestens 42 Tage nach dem Tag des ersten Tests erneut untersucht, was dann als erster Test im Sinne des Buchstaben b gilt.

2.1.2 Brucellose

  1. Testverfahren:
    1. Brucella abortus: Rose-Bengal-Test (RBT) und Serumagglutinationstest (SAT) gemäß Anhang C Nummer 2.5 bzw. Anhang C Nummer 2.6 der Richtlinie 64/432/EWG. Bei positivem Ergebnis wird zur Bestätigung eine Untersuchung mittels Komplementbindungsreaktion gemäß Anhang I Teil 6 der Verordnung (EU) Nr. 206/2010 durchgeführt.
    2. Brucella melitensis: RBT und SAT gemäß Anhang C Nummer 2.5 bzw. Anhang C Nummer 2.6 der Richtlinie 64/432/EWG. Bei positivem Ergebnis wird zur Bestätigung eine Untersuchung mittels Komplementbindungsreaktion nach dem Verfahren gemäß Anhang C der Richtlinie 91/68/EWG durchgeführt.
    3. Brucella ovis: Untersuchung mittels Komplementbindungsreaktion gemäß Anhang D der Richtlinie 91/68/EWG.
  2. Zeitplan: Die Tiere sind binnen zwei Tagen nach dem Tag ihrer Einstallung in die Quarantänestation einem Test zu unterziehen sowie 42 Tage nach dem Tag des ersten Tests erneut zu untersuchen.
  3. Auswertung der Ergebnisse:

    Eine Reaktion gilt dann als positiv, wenn eine positive Reaktion im Sinne des Anhangs C der Richtlinie 64/432/EWG vorliegt.

  4. Mögliche Maßnahmen nach der Untersuchung:

    Reagiert ein Tier auf einen der Tests positiv, so wird dieses Tier aus der Gruppe ausgeschlossen, und die verbleibenden Tiere werden frühestens 42 Tage nach dem Tag des ersten Tests mit positivem Ergebnis erneut untersucht, was dann als erster Test im Sinne des Buchstaben b gilt.

    Nur Tiere, die bei zwei aufeinanderfolgenden Tests gemäß Buchstabe b negativ reagiert haben, dürfen in die Union verbracht werden.

2.1.3 Blauzungenkrankheit und epizootische Hämorrhagie der Hirsche (EHD):

  1. Testverfahren: Agargel-Immundiffusionstest gemäß Anhang I Teil 6 der Verordnung (EU) Nr. 206/2010.

    Bei positivem Ergebnis werden die Tiere zur Unterscheidung zwischen den zwei Krankheiten einem kompetitiven ELISa gemäß Anhang I Teil 6 der Verordnung (EU) Nr. 206/2010 unterzogen.

  2. Zeitplan:

    Die Tiere müssen auf zwei Tests negativ reagieren, wobei der erste binnen zwei Tagen nach dem Tag der Einstallung der Tiere in die Quarantänestation und der zweite frühestens 21 Tage nach dem Tag des ersten Tests durchzuführen ist.

  3. Mögliche Maßnahmen nach der Untersuchung:
    1. Blauzungenkrankheit

      Reagieren ein oder mehrere Tiere auf den ELISa gemäß Anhang I Teil 6 der Verordnung (EU) Nr. 206/2010 positiv, so wird/werden das betreffende Tier bzw. die betreffenden Tiere aus der Gruppe ausgeschlossen, und die in der Gruppe verbleibenden Tiere werden ab dem Tag, an dem die Proben für den Test mit positivem Ergebnis entnommen wurden, 100 Tage lang unter Quarantäne gestellt. Die Gruppe gilt erst dann als frei von der Blauzungenkrankheit, wenn amtliche Tierärzte/Tierärztinnen bei regelmäßigen Kontrollen während des gesamten Zeitraums der Quarantäne keine klinischen Anzeichen der Krankheit nachgewiesen haben und die Quarantänestation frei von Vektoren der Blauzungenkrankheit (Culicoides) geblieben ist.

      Zeigen sich während des in Unterabsatz 1 genannten Zeitraums der Quarantäne bei einem weiteren Tier klinische Anzeichen der Blauzungenkrankheit, so werden alle Tiere der Gruppe vom Verbringen in die Union ausgeschlossen.

    2. Epizootische Hämorrhagie der Hirsche (EHD)

      Werden durch den zur Bestätigung durchgeführten ELISa bei einem oder mehreren Tieren, die positiv reagiert haben, Antikörper gegen das EHD-Virus nachgewiesen, so gilt/gelten das betreffende Tier bzw. die betreffenden Tiere als positiv und werden aus der Gruppe ausgeschlossen; in diesem Fall wird die gesamte Gruppe zwei Wiederholungsuntersuchungen unterzogen, wobei die erste frühestens 21 Tage nach dem Tag des ersten Tests mit positivem Ergebnis und die zweite Wiederholungsuntersuchung frühestens 21 Tage nach dem Tag der ersten durchgeführt werden muss und beide Tests ein negatives Ergebnis liefern müssen.

      Reagieren weitere Tiere bei einer der Wiederholungsuntersuchungen oder bei beiden Wiederholungsuntersuchungen positiv, so wird die gesamte Gruppe vom Verbringen in die Union ausgeschlossen.

2.1.4 Maul- und Klauenseuche (MKS)

  1. Testverfahren: Diagnostik (Tests mit Probang-Gerät und serologische Untersuchungen) mittels ELISa und Virusneutralisationstest nach den Protokollen in Anhang I Teil 6 der Verordnung (EU) Nr. 206/2010.
  2. Zeitplan: Die Tiere müssen auf zwei Tests negativ reagieren, wobei der erste binnen zwei Tagen nach dem Tag der Einstallung der Tiere in die Quarantänestation und der zweite frühestens 42 Tage nach dem Tag des ersten Tests durchzuführen ist.
  3. Mögliche Maßnahmen nach der Untersuchung: Reagiert ein Tier bei der Untersuchung auf das MKS-Virus positiv, so kommt keines der Tiere in der Quarantänestation für das Verbringen in die Union in Frage.

    Hinweis: Jeder Nachweis von Antikörpern gegen Strukturproteine oder gegen Nichtstrukturproteine des MKS-Virus wird unabhängig vom Impfstatus als Folge einer früheren MKS-Infektion angesehen.

2.1.5 Rinderpest

  1. Testverfahren: Der kompetitive ELISa gemäß dem OIE-Handbuch zu Untersuchungsmethoden und Vakzinen für Landtiere (letzte Fassung) ist der gängigste Test und für den internationalen Handel vorgeschrieben. Der Serumneutralisationstest oder andere anerkannte Untersuchungsverfahren nach den Protokollen in den einschlägigen Kapiteln des OIE-Handbuchs können ebenfalls angewandt werden.
  2. Zeitplan: Die Tiere müssen zwei Tests unterzogen werden, wobei der erste binnen zwei Tagen nach dem Tag der Einstallung der Tiere in die Quarantänestation und der zweite frühestens 42 Tage nach dem Tag des ersten Tests durchzuführen ist.
  3. Mögliche Maßnahmen nach der Untersuchung: Reagiert ein Tier bei der Untersuchung auf das Rinderpestvirus positiv, so kommt keines der Tiere in der Quarantänestation für das Verbringen in die Union in Frage.

2.1.6 Vesikuläre Stomatitis

  1. Testverfahren: ELISA, Virusneutralisationstest oder andere anerkannte Untersuchungsverfahren nach den Protokollen in den einschlägigen Kapiteln des OIE-Handbuchs.
  2. Zeitplan: Die Tiere müssen zwei Tests unterzogen werden, wobei der erste binnen zwei Tagen nach dem Tag der Einstallung der Tiere in die Quarantänestation und der zweite frühestens 42 Tage nach dem Tag des ersten Tests durchzuführen ist.
  3. Mögliche Maßnahmen nach der Untersuchung: Reagiert ein Tier bei der Untersuchung auf das Virus der vesikulären Stomatitis positiv, so kommt keines der Tiere in der Quarantänestation für das Verbringen in die Union in Frage.

2.1.7 Rifttalfieber

  1. Testverfahren: ELISA, Virusneutralisationstest oder andere anerkannte Untersuchungsverfahren nach den Protokollen in den einschlägigen Kapiteln des OIE-Handbuchs.
  2. Zeitplan: Die Tiere müssen zwei Tests unterzogen werden, wobei der erste binnen zwei Tagen nach dem Tag der Einstallung der Tiere in die Quarantänestation und der zweite frühestens 42 Tage nach dem Tag des ersten Tests durchzuführen ist.
  3. Mögliche Maßnahmen nach der Untersuchung: Zeigt ein Tier Anzeichen des Kontakts mit dem Rifttalfieber-Virus, so kommt keines der Tiere in der Quarantänestation für das Verbringen in die Union in Frage.

2.1.8 Lumpyskin-Krankheit

  1. Testverfahren: Serologische Tests (ELISA, Virusneutralisationstest oder andere anerkannte Untersuchungsverfahren nach den Protokollen in den einschlägigen Kapiteln des OIE-Handbuchs).
  2. Zeitplan: Die Tiere müssen zwei Tests unterzogen werden, wobei der erste binnen zwei Tagen nach dem Tag der Einstallung der Tiere in die Quarantänestation und der zweite frühestens 42 Tage nach dem Tag des ersten Tests durchzuführen ist.
  3. Mögliche Maßnahmen nach der Untersuchung: Zeigt ein Tier Anzeichen des Kontakts mit dem Erreger der Lumpyskin-Krankheit, so kommt keines der Tiere in der Quarantänestation für das Verbringen in die Union in Frage.

2.1.9 Hämorrhagisches Krim-Kongo-Fieber

  1. Testverfahren: ELISA, Virusneutralisationstest, Immunfluoreszenztest oder andere anerkannte Untersuchungsverfahren.
  2. Zeitplan: Die Tiere müssen zwei Tests unterzogen werden, wobei der erste binnen zwei Tagen nach dem Tag der Einstallung der Tiere in die Quarantänestation und der zweite frühestens 42 Tage nach dem Tag des ersten Tests durchzuführen ist.
  3. Mögliche Maßnahmen nach der Untersuchung: Zeigt ein Tier Anzeichen des Kontakts mit dem Erreger des hämorrhagischen Krim- Kongo-Fiebers, so kommt keines der Tiere in der Quarantänestation für das Verbringen in die Union in Frage.

2.1.10 Surra (Trypanosoma evansi)

  1. Testverfahren: Der Parasit kann in konzentrierten Blutproben nach den Protokollen in den einschlägigen Kapiteln des OIE-Handbuchs nachgewiesen werden.
  2. Zeitplan: Die Tiere müssen zwei Tests unterzogen werden, wobei der erste binnen zwei Tagen nach dem Tag der Einstallung der Tiere in die Quarantänestation und der zweite frühestens 42 Tage nach dem Tag des ersten Tests durchzuführen ist.
  3. Mögliche Maßnahmen nach der Untersuchung: Wird bei einem Tier der Sendung Trypanosoma evansi nachgewiesen, so kommt es für das Verbringen in die Union nicht in Frage. Die in der Gruppe verbleibenden Tiere werden mit geeigneten Mitteln einer innerlichen und äußerlichen antiparasitären Behandlung gegen Trypanosoma evansi unterzogen.

2.1.11 Bösartiges Katarrhalfieber

  1. Testverfahren: Der Nachweis viraler DNa durch Virusidentifizierung mittels Immunfluoreszenz oder Immunzytochemie nach den Protokollen in den einschlägigen Kapiteln des OIE-Handbuchs.
  2. Zeitplan: Die Tiere müssen zwei Tests unterzogen werden, wobei der erste binnen zwei Tagen nach dem Tag der Einstallung der Tiere in die Quarantänestation und der zweite frühestens 42 Tage nach dem Tag des ersten Tests durchzuführen ist.
  3. Mögliche Maßnahmen nach der Untersuchung: Zeigt ein Tier Anzeichen des Kontakts mit dem Erreger des bösartigen Katarrhalfiebers, so kommt keines der Tiere in der Quarantänestation für das Verbringen in die Union in Frage.

2.1.12 Tollwut

Impfung: Wenn der Bestimmungsmitgliedstaat dies verlangt, kann gegen Tollwut geimpft werden; dem Tier werden Blutproben entnommen und zum Antikörpernachweis wird ein Serumneutralisationstest durchgeführt.

2.1.13 Enzootische Rinderleukose (nur, falls die Tiere für einen Mitgliedstaat bzw. für ein Gebiet bestimmt sind, der/das amtlich anerkannt frei von enzootischer Rinderleukose im Sinne von Artikel 2 Absatz 2 Buchstabe k der Richtlinie 64/432/EWG ist)

  1. Testverfahren: Agargel-Immundiffusionstest oder Blocking-ELISa nach den Protokollen im OIE-Handbuch (letzte Fassung).
  2. Zeitplan: Die Tiere müssen zwei Tests unterzogen werden, wobei der erste binnen zwei Tagen nach dem Tag der Einstallung der Tiere in die Quarantänestation und der zweite frühestens 42 Tage nach dem Tag des ersten Tests durchzuführen ist.
  3. Mögliche Maßnahmen nach der Untersuchung: Reagiert ein Tier auf den Test gemäß Buchstabe a positiv, so wird dieses Tier aus der Gruppe in der Quarantänestation ausgeschlossen, und die verbleibenden Tiere werden frühestens 21 Tage nach dem Tag des ersten Tests mit positivem Ergebnis erneut untersucht, was dann als erster Test im Sinne des Buchstaben b gilt.

    Nur Tiere, die bei zwei aufeinanderfolgenden Tests gemäß Buchstabe b negativ reagiert haben, kommen für das Verbringen in die Union in Frage.

1) ABl. Nr. L 249 vom 23.07.2004 S. 20.

2) ABl. Nr. L 59 vom 04.03.2008 S. 19.

3) ABl. Nr. L 167 vom 07.07.2000 S. 22.

4) ABl. Nr. L 39 vom 09.02.2002 S. 71.

5) ABl. Nr. L 268 vom 24.09.1991 S. 56.

.

Frisches Fleisch Anhang II 20

Teil 1
Liste von Drittländern, Gebieten und Teilen davon 1
15 16  16a 16b 17  19 19a 19b Gültig 20 20a

ISO-Code und Name des Drittlandes Gebietscode Beschreibung des Drittlandes, Gebiets bzw. Teils Veterinärbescheinigung Besondere Bedingungen Stichtag 2 Anfangsdatum 3
Muster ZG
1 2 3 4 5 6 7 8
AL - Albanien AL-0 Gesamtes Hoheitsgebiet EQU
AR - Argentinien AR-0 Gesamtes Hoheitsgebiet EQU
AR-1 Die Provinzen

Teile von Buenos Aires (ausgenommen die unter AR-4 genannten Gebiete),
Catamarca,
Corrientes,
Entre Ríos,
La Rioja,
Mendoza,
Misiones,
San Juan,
San Luis,
Santa Fe,
Tucumán,
Córdoba,
La Pampa,
Santiago del Estero,
Chaco,
Formosa,
Jujuy,
Salta (ausgenommen die unter AR-3 genannten Gebiete)

BOV
RUF
RUW
A 1 1. August 2010
AR-2 Die Provinzen

Chubut,
Santa Cruz,
Tierra del Fuego,
Teile von Neuquén (ausgenommen die unter AR-4 genannten Gebiete),
Teile von Río Negro (ausgenommen die unter AR-4 genannten Gebiete)

BOV
OVI
RUW
RUF
1. August 2008
AR-3 Teile von Salta: das 25 km breite Gebiet entlang der Grenze zu Bolivien und Paraguay, das sich vom Departamento Santa Catalina in der Provinz Jujuy bis zum Departamento Laishi in der Provinz Formosa erstreckt (die ehemals streng überwachte Pufferzone) BOV
RUF
RUW
A 1 1. Juli 2016
AR-4 Die Provinzen

Teile von Neuquén (in Confluencia die Zone östlich der Provinzstraße 17 und in Picun Leufú die Zone östlich der Provinzstraße 17),
Teile von Río Negro (in Avellaneda die Zone nördlich der Provinzstraße 7 und östlich der Provinzstraße 250, in Conesa die Zone östlich der Provinzstraße 2, in El Cuy die Zone nördlich der Provinzstraße 7 von deren Schnittpunkt mit der Provinzstraße 66 bis zur Grenze zum Bezirk Avellaneda, und in San Antonio die Zone östlich der Provinzstraßen 250 und 2),
Teile von Buenos Aires (Bezirk ("Partido") Patagonien)

BOV
OVI
RUW
RUF
8. Juli 2019
AU - Australien AU-0 Gesamtes Hoheitsgebiet BOV, OVI, POR,
EQU, RUF, RUW, SUF, SUW
Ba - Bosnien und Herzegowina 9 BA-0 Gesamtes Hoheitsgebiet BOV
BH - Bahrain BH-0 Gesamtes Hoheitsgebiet -
BR - Brasilien BR-0 Gesamtes Hoheitsgebiet EQU
BR-1 Bundesstaat Minas Gerais,
Bundesstaat Espírito Santo,
Bundesstaat Goiás,
Bundesstaat Mato Grosso,
Bundesstaat Rio Grande do Sul,
Bundesstaat Mato Grosso do Sul (ausgenommen die unter BR-4 genannten Gebiete)
BOV a und H 1 1. Dezember 2008
BR-2 Bundesstaat Santa Catarina BOV a und H 1 31. Januar 2008
BR-3 Bundesstaaten Paraná und São Paulo BOV a und H 1 1. August 2008
BR-4 Teile des Bundesstaats Mato Grosso do Sul: das 15 km breite Gebiet ent- lang den Außengrenzen in den Gemeinden Porto Murtinho, Caracol, Bela Vista, Antônio João, Ponta Porã, Aral Moreira, Coronel Sapucaia, Paranhos, Sete Quedas, Japorã und Mundo Novo sowie das Gebiet in den Gemeinden Corumbá und Ladário (ehemals eine festgelegte, streng überwachte Zone) BOV a und H 1 1. Juli 2016
BW - Botsuana BW-0 Gesamtes Hoheitsgebiet EQU, EQW
BW-1 Tierseuchenüberwachungszonen 3c, 4b, 5, 8, 9 und 18 BOV, OVI, RUF, RUW F 1 11. Mai 2011 26. Juni 2012
BW-2 Tierseuchenüberwachungszonen 10, 11, 13 und 14 BOV, OVI, RUF, RUW F 1 7. März 2002
BW-3 Tierseuchenüberwachungszone 12 BOV, OVI, RUF, RUW F 1 20. Oktober 2008 20. Januar 2009
BW-4 Tierseuchenüberwachungszone 4a, ausgenommen die streng überwachte 10-km-Pufferzone entlang der Grenze zu der Zone, in der gegen Maul- und Klauenseuche geimpft wird, und Wildhegegebiete BOV F 1 28. Mai 2013 18. Februar 2011
BW-5 Tierseuchenüberwachungszonen 6a und 6b BOV, OVI, RUF, RUW F 1 28. Mai 2013 18. August 2016
BY - Belarus BY-0 Gesamtes Hoheitsgebiet -
BZ - Belize BZ-0 Gesamtes Hoheitsgebiet BOV, EQU
Ca - Kanada CA-0 Gesamtes Hoheitsgebiet BOV, OVI, POR,
EQU, SUF, SUW, RUF, RUW
G
CH - Schweiz CH-0 Gesamtes Hoheitsgebiet *
CL - Chile CL-0 Gesamtes Hoheitsgebiet BOV, OVI, POR,
EQU, RUF, RUW, SUF
CN - China CN-0 Gesamtes Hoheitsgebiet -
CO - Kolumbien CO-0 Gesamtes Hoheitsgebiet EQU
CR - Costa Rica CR-0 Gesamtes Hoheitsgebiet BOV, EQU
CU - Kuba CU-0 Gesamtes Hoheitsgebiet BOV, EQU
DZ - Algerien DZ-0 Gesamtes Hoheitsgebiet -
ET - Äthiopien ET-0 Gesamtes Hoheitsgebiet -
FK - Falkland-Inseln FK-0 Gesamtes Gebiet BOV, OVI, EQU
GB - Vereinigtes Königreich ***

Stand: VO (EU) 2020/2204

GB-0 Gesamtes Hoheitsgebiet BOV, OVI, POR, EQU, RUF, RUW, SUF, SUW K
GG-Guernsey

Stand: VO (EU) 2020/2204

GG-0 Gesamtes Hoheitsgebiet
GL - Grönland GL-0 Gesamtes Gebiet BOV, OVI, EQU, RUF, RUW
GT - Guatemala GT-0 Gesamtes Hoheitsgebiet BOV, EQU
HK - Hongkong HK-0 Gesamtes Gebiet -
HN - Honduras HN-0 Gesamtes Hoheitsgebiet BOV, EQU
IL - Israel 6 IL-0 Gesamtes Hoheitsgebiet -
IM-Insel Man

Stand: VO (EU) 2020/2204

IM-0 Gesamtes Hoheitsgebiet BOV, OVI, POR
IN - Indien IN-0 Gesamtes Hoheitsgebiet -
IS - Island IS-0 Gesamtes Hoheitsgebiet BOV, OVI, EQU, RUF, RUW
JE-Jersey

Stand: VO (EU) 2020/2204

JE-0 Gesamtes Hoheitsgebiet
JP - Japan JP Gesamtes Hoheitsgebiet BOV 28. März 2013
KE - Kenia KE-0 Gesamtes Hoheitsgebiet -
Ma - Marokko MA-0 Gesamtes Hoheitsgebiet EQU
ME - Montenegro ME-0 Gesamtes Hoheitsgebiet BOV, OVI, EQU
MG - Madagaskar MG-0 Gesamtes Hoheitsgebiet -
MK - Republik Nordmazedonien MK-0 Gesamtes Hoheitsgebiet BOV,
OVI,
EQU
MU - Mauritius MU-0 Gesamtes Hoheitsgebiet -
MX - Mexiko MX-0 Gesamtes Hoheitsgebiet BOV, EQU
Na - Namibia NA-0 Gesamtes Hoheitsgebiet EQU, EQW
NA-1 Südlich des Seuchenschutz-Sperrgürtels von Palgrave Point im Westen bis Gam im Osten BOV, OVI, RUF, RUW F und J 1
NC - Neukaledonien NC-0 Gesamtes Gebiet BOV, RUF,
RUW
NI - Nicaragua NI-0 Gesamtes Hoheitsgebiet -
NZ - Neuseeland NZ-0 Gesamtes Hoheitsgebiet BOV, OVI, POR,
EQU, RUF, RUW, SUF, SUW
Pa - Panama PA-0 Gesamtes Hoheitsgebiet BOV, EQU
PY - Paraguay PY-0 Gesamtes Hoheitsgebiet EQU
PY-0 Gesamtes Hoheitsgebiet BOV A 1 17. April 2015
RS - Serbien 5 RS-0 Gesamtes Hoheitsgebiet BOV, OVI, EQU
RU - Russland RU-0 Gesamtes Hoheitsgebiet -
RU-1 Region Murmansk, autonomer Kreis der Jamal-Nenzen RUF
SG - Singapur 7 SG-0 Gesamtes Hoheitsgebiet NZ-TRANSIT-SG 8
SV - El Salvador SV-0 Gesamtes Hoheitsgebiet -
SZ - Swasiland SZ-0 Gesamtes Hoheitsgebiet EQU, EQW
SZ-1 Gebiet westlich des "roten Gürtels" vom Fluss Usutu in nördlicher Richtung bis zur Grenze mit Südafrika westlich von Nkalashane BOV, RUF, RUW F 1
SZ-2 MKS-Überwachungs- und Impfkontrollgebiete gemäß Rechtsverordnung, die unter Bekanntmachung Nr. 51 des Jahres 2001 im Amtsblatt veröffentlicht wurde BOV, RUF, RUW F 1 4. August 2003
TH - Thailand TH-0 Gesamtes Hoheitsgebiet -
TN - Tunesien TN-0 Gesamtes Hoheitsgebiet -
TR - Türkei TR-0 Gesamtes Hoheitsgebiet -
TR-1 Die Provinzen Amasya, Ankara, Aydin, Balikesir, Bursa, Çankiri, Çorum, Denizli, 0zmir, Kastamonu, Kütahya, Manisa, Usak, Yozgat und Kirikkale EQU
Ua - Ukraine UA-0 Gesamtes Hoheitsgebiet -
US - Vereinigte Staaten US-0 Gesamtes Hoheitsgebiet BOV, OVI, POR,
EQU, SUF, SUW, RUF, RUW
G
UY - Uruguay UY-0 Gesamtes Hoheitsgebiet EQU
BOV a und J 1 1. November 2001
OVI A 1
Za - Südafrika

Stand: VO (EU) 2020/386

ZA-0 Gesamtes Hoheitsgebiet EQU, EQW
ZW - Simbabwe ZW-0 Gesamtes Hoheitsgebiet -
Fußnoten:

1) Unbeschadet besonderer Bescheinigungsvorschriften, die in Abkommen der Union mit Drittländern festgelegt sind.

2) Fleisch von Tieren, die an oder vor dem Datum gemäß Spalte 7 geschlachtet wurden, darf während eines Zeitraums von 90 Tagen ab diesem Datum in die Union eingeführt werden. Wenn Bescheinigungen für Sendungen, die per Schiff auf hoher See befördert werden, vor diesem Datum ausgestellt wurden, dürfen die betreffenden Sendungen während eines Zeitraums von 40 Tagen ab dem Datum gemäß Spalte 7 in die Union eingeführt werden. (Hinweis: Wenn in Spalte 7 kein Datum angegeben ist, gelten keine zeitlichen Beschränkungen.)

3) Nur Fleisch von Tieren, die an oder nach dem Datum gemäß Spalte 8 geschlachtet wurden, darf in die Union eingeführt werden (wenn in Spalte 8 kein Datum angegeben ist, gelten keine zeitlichen Beschränkungen).

4) - gestrichen -

5) Ohne Kosovo, das zurzeit unter internationaler Verwaltung nach der Resolution 1244 des Sicherheitsrats der Vereinten Nationen vom 10. Juni 1999 steht.

6) Im Folgenden wird darunter das Gebiet des Staates Israel mit Ausnahme der seit Juni 1967 unter israelischer Verwaltung stehenden Gebiete (namentlich die Golanhöhen, der Gazastreifen, Ostjerusalem und das restliche Westjordanland) verstanden.

7) Nur für frisches Fleisch mit Ursprung in Neuseeland, das von Neuseeland in die Union verbracht werden darf und für die Union bestimmt ist, dem die von der zuständigen Behörde Neuseelands ausgestellte Veterinärbescheinigung nach dem entsprechenden Muster beigefügt ist und das während der Durchfuhr durch Singapur, mit oder ohne Lagerung, entladen und in einem zugelassenen Betrieb umgeladen wird.

8) Bei der Einfuhr in die Union muss den Sendungen sowohl diese, von der zuständigen Behörde Singapurs über TRACES ausgestellte Veterinärbescheinigung beigefügt sein als auch die von der zuständigen Behörde Neuseelands ausgestellte Veterinärbescheinigung für die Einfuhr frischen Fleisches nach dem entsprechenden Muster, die die zuständige Behörde Singapurs in TRACES ihrer Bescheinigung beifügen kann.

9) Nur zur Durchfuhr von Sendungen mit frischem Fleisch von Hausrindern durch Bulgarien in die Türkei.

* = Anforderungen gemäß dem Abkommen zwischen der Europäischen Gemeinschaft und der Schweizerischen Eidgenossenschaft über den Handel mit landwirtschaftlichen Erzeugnissen (ABl. Nr. L 114 vom 30.04.2002 S. 132).

**) - gestrichen -

***) Im Einklang mit dem Abkommen über den Austritt des Vereinigten Königreichs Großbritannien und Nordirland aus der Europäischen Union und der Europäischen Atomgemeinschaft und insbesondere nach Artikel 5 Absatz 4 des Protokolls zu Irland/Nordirland in Verbindung mit Anhang 2 dieses Protokolls gelten für die Zwecke dieses Anhangs Bezugnahmen auf das Vereinigte Königreich nicht für Nordirland

- = Keine Bescheinigung festgelegt; Einfuhr frischen Fleisches nicht erlaubt (davon ausgenommen sind die in der Zeile für das gesamte Hoheitsgebiet/Gebiet angegebenen Tierarten).

"1" - Kategorieeinschränkungen:
Innereien dürfen nicht in die Union verbracht werden (ausgenommen Zwerchfelle und Kaumuskeln von Rindern).

Teil 2
Muster-Veterinärbescheinigungen
16 16a 17 20 20a

Muster:

" BOV": Veterinärbescheinigung für frisches Fleisch, einschließlich Hackfleisch/Faschiertem, von Hausrindern (einschließlich Bison- und Bubalus-Arten sowie ihrer Kreuzungen)
" OVI": Veterinärbescheinigung für frisches Fleisch, einschließlich Hackfleisch/Faschiertem, von Hausschafen (Ovis aries) und Hausziegen (Capra hircus)
" POR": Veterinärbescheinigung für frisches Fleisch, einschließlich Hackfleisch/Faschiertem, von Hausschweinen (Sus scrofa)
" EQU": Veterinärbescheinigung für frisches Fleisch, ausgenommen Hackfleisch/Faschiertes, von Einhufern, die als Haustiere gehalten werden (Equus caballus, Equus asinus und ihre Kreuzungen)
" RUF": Veterinärbescheinigung für frisches Fleisch, ausgenommen Innereien und Hackfleisch/Faschiertes, von Gatterwild der Ordnung Artiodactyla (ausgenommen Rindern, - einschließlich Bison- und Bubalus-Arten sowie ihrer Kreuzungen -, Ovis aries, Capra hircus, Suidae und Tayassuidae) sowie der Familien Rhinocerotidae und Elephantidae
" RUW": Veterinärbescheinigung für frisches Fleisch, ausgenommen Innereien und Hackfleisch/Faschiertes, von Wild der Ordnung Artiodactyla (ausgenommen Rindern, - einschließlich Bison und Bubalus-Arten sowie ihrer Kreuzungen -, Ovis aries, Capra hircus, Suidae und Tayassuidae) sowie der Familien Rhinocerotidae und Elephantidae
" SUF": Veterinärbescheinigung für frisches Fleisch, ausgenommen Innereien und Hackfleisch/Faschiertes, von Gatterwild der Familien Suidae, Tayassuidae und Tapiridae
" SUW": Veterinärbescheinigung für frisches Fleisch, ausgenommen Innereien und Hackfleisch/Faschiertes, von Wild der Familien Suidae, Tayassuidae und Tapiridae
" EQW": Veterinärbescheinigung für frisches Fleisch, ausgenommen Innereien und Hackfleisch/Faschiertes, von wildlebenden Einhufern der Untergattung Hippotigris (Zebra)
" NZ-TRANSIT-SG" Veterinärbescheinigung nur für die Durchfuhr frischen Fleisches mit Ursprung in Neuseeland, das von Neuseeland in die Union verbracht werden darf und für die Union bestimmt ist, durch Singapur mit Entladen, möglicher Lagerung und Umladen.
ZG (Zusätzliche Garantien)
"A": Garantien für frisches Fleisch, ausgenommen Innereien, hinsichtlich der Reifung, der pH-Messung und des Entbeinens, für die eine Bescheinigung nach dem Muster BOV (Nummer II.2.6.), OVI (Nummer II.2.6.), RUF (Nummer II.2.7.) bzw. RUW (Nummer II.2.4.) ausgestellt wurde
"C": Garantien hinsichtlich der Laboruntersuchung der Schlachtkörper, aus denen frisches Fleisch gewonnen wurde, auf klassische Schweinepest, für die eine Bescheinigung nach dem Muster SUW (Nummer II.2.3 B) ausgestellt wurde
"D": Garantien, für die eine Bescheinigung nach dem Muster POR (Nummer II.2.3 Buchstabe d) ausgestellt wurde, hinsichtlich der Spültrankfütterung in dem/den Betrieb(en) mit Tieren, aus denen frisches Fleisch gewonnen wurde
"E": Garantien hinsichtlich der Untersuchung der Tiere, aus denen frisches Fleisch gewonnen wurde, auf Tuberkulose, für die eine Bescheinigung nach dem Muster BOV (Nummer II.2.4 Buchstabe d) ausgestellt wurde
"F": Garantien für frisches Fleisch, ausgenommen Innereien, hinsichtlich der Reifung und des Entbeinens, für das eine Bescheinigung nach dem Muster BOV (Nummer II.2.6.), OVI (Nummer II.2.6.), RUF (Nummer II.2.6.) bzw. RUW (Nummer II.2.7.) ausgestellt wurde
"G": Garantien hinsichtlich 1) des Ausschlusses von Innereien und Rückenmark und 2) der Untersuchung und Herkunft von Cervidae im Zusammenhang mit der Chronic Wasting Disease gemäß den Angaben im Muster RUF (Nummer II.1.7.) bzw. RUW (Nummer II.1.8.)
"H": Zusätzliche Garantien für Brasilien. Da im Bundesstaat Santa Catarina nicht gegen die Maul- und Klauenseuche geimpft wird, gilt die Bezugnahme auf ein Impfprogramm nicht für Fleisch von Tieren, die aus diesem Bundesstaat stammen und dort geschlachtet wurden.
"J": Garantien im Hinblick auf das Verbringen von Rindern, Schafen und Ziegen von Haltungsbetrieben zum Schlachthof, die es erlauben, dass diese Tiere eine Sammelstelle (oder einen Markt) passieren, bevor sie direkt zum Schlachten befördert werden
"K": Nicht abgesetzte Hausschweine unter fünf Wochen sind von der Trichinenuntersuchung befreit.

Muster BOV

Muster OVI

Muster POR


Muster EQU 16a


Muster RUF


Muster RUW


Muster SUF


Muster SUW


Muster EQW

Muster NZ-TRANSIT-SG 16


.

Muster Durchfuhr/Lagerung Anhang III



.

Tiere im Sinne von Artikel 1 Absatz 1 Buchstabe b Anhang IV

Teil 1
Liste von Drittländern, Gebieten und Teilen davon

Abschnitt 1
Teile von Drittländern bzw. Gebieten gemäß Artikel 7 Absatz 2

Land/Gebiet Code des Teil s eines Drittlandes bzw. Gebiets Beschreibung des Teil s eines Drittlandes bzw. Gebiets
US - Vereinigte Staaten US-A Bundesstaat Hawaii1
1) Ausgesetzt ab dem 5. Mai 2010.

Teil 2
Tabellen: für die jeweiligen Tiere vorgesehene Muster-Veterinärbescheinigungen

Tabelle 1
"QUE" Veterinärbescheinigung für Sendungen mit Bienenköniginnen und Hummelköniginnen (Apis mellifera bzw. Bombus spp.)

"BEE" Veterinärbescheinigung für Sendungen mit Hummelvölkern (Bombus spp.)

Ordnung Familie Gattungen/Arten
Hymenoptera Apidae Apis mellifera, Bombus spp.

Muster QUE


Muster BEE


.

Erläuterungen zum Ausfüllen der Veterinärbescheinigungen
(gemäß Artikel 18)
Anhang V


  1. Die Veterinärbescheinigungen werden vom Ausfuhrdrittland nach den Mustern ausgestellt, die in Anhang I Teil 2, Anhang II Teil 2, Anhang III und Anhang IV Teil 2 für die betreffenden lebenden Tiere bzw. das betreffende frische Fleisch festgelegt sind.

    Sie enthalten (in der im Muster vorgegebenen Reihenfolge) die für das betreffende Drittland erforderlichen Bescheinigungen und umfassen gegebenenfalls die für das Ausfuhrdrittland oder für einen Teil des Ausfuhrdrittlandes erforderlichen zusätzlichen Garantien.

    Falls der Bestimmungsmitgliedstaat zusätzliche Anforderungen an Veterinärbescheinigungen für die betreffenden lebenden Tiere bzw. für das betreffende frische Fleisch verlangt, muss die Erfüllung dieser Anforderungen ebenfalls aus dem Bescheinigungsoriginal hervorgehen.

  2. Wenn aus der Muster-Veterinärbescheinigung hervorgeht, dass bestimmte Teile gegebenenfalls zu streichen sind, kann der/die Bescheinigungsbefugte nichtzutreffende Passagen durchstreichen, mit seinen/ihren Initialen versehen und stempeln, oder die entsprechenden Passagen werden vollständig aus der Veterinärbescheinigung entfernt.
  3. Für frisches Fleisch bzw. lebende Tiere, das/die aus einem Gebiet oder mehreren Gebieten desselben Ausfuhrlandes ausgeführt wird/werden, die in den Spalten 2 und 3 der Tabelle in Anhang I Teil 1, Anhang II Teil 1 bzw. Anhang IV Teil 1 aufscheinen, und das/die in demselben Eisenbahnwaggon, LKW, Flugzeug oder Schiff zu demselben Bestimmungsort befördert wird/ werden, ist eine einzige, separate Bescheinigung auszustellen.
  4. Das Bescheinigungsoriginal besteht aus einem einzelnen Blatt oder, falls mehr Text erforderlich ist, aus mehreren Blättern, die alle ein zusammenhängendes, untrennbares Ganzes bilden müssen.
  5. Die Veterinärbescheinigung wird in mindestens einer der Amtssprachen des Mitgliedstaats, in dem die Sendung an der Eingangsgrenzkontrollstelle der Union vorgelegt wird, und in einer Amtssprache des Bestimmungsmitgliedstaats ausgestellt. Diese Mitgliedstaaten können jedoch - erforderlichenfalls durch eine amtliche Übersetzung ergänzte - Bescheinigungen in der Amtssprache eines anderen Mitgliedstaats zulassen.
  6. Werden der Bescheinigung zwecks Identifizierung der zur Sendung gehörenden Waren (Aufstellung gemäß Nummer I.28 der Muster-Veterinärbescheinigung) weitere Blätter beigefügt, so gelten auch diese als Teil des Bescheinigungsoriginals, falls jede einzelne Seite mit Unterschrift und Stempel des/der Bescheinigungsbefugten versehen ist.
  7. Umfasst die Bescheinigung, einschließlich zusätzlicher Aufstellungen gemäß Buchstabe f, mehrere Seiten, so wird jede Seite am Seitenende im Format "Seite ... (Seitenzahl) von ... (Gesamtseitenzahl)" nummeriert und weist am Seitenbeginn die von der zuständigen Behörde zugeteilte Bescheinigungsnummer auf.
  8. Das Bescheinigungsoriginal ist von einem amtlichen Tierarzt/einer amtlichen Tierärztin oder, wenn die Muster-Veterinärbescheinigung dies vorsieht, von einem/einer anderen benannten Bescheinigungsbefugten auszufüllen und zu unterzeichnen. Im Fall lebender Tiere ist die Bescheinigung innerhalb 24 Stunden vor dem Verladen der Sendung auszufüllen und zu unterzeichnen, die für das Verbringen in die Union bestimmt ist. Die zuständigen Behörden des Ausfuhrdrittlandes tragen dafür Sorge, dass die angewandten Bescheinigungsvorschriften den diesbezüglichen Vorschriften der Richtlinie 96/93/EG 1 gleichwertig sind.

    Die Unterschrift muss sich farblich von der Druckfarbe der Bescheinigung unterscheiden. Diese Anforderung gilt auch für Stempel, bei denen es sich nicht um Prägestempel oder Wasserzeichen handelt.

  9. Die Bescheinigungsnummer gemäß den Feldern I.2 und II.a ist von der zuständigen Behörde zu vergeben.

1) ABl. Nr. L 13 vom 16.01.1997 S. 28.

.

Anhang VI

Teil 1

Tabelle 1
" RUM-A": Musterveterinärbescheinigung für Tiere der nachstehend aufgeführten Arten, die aus einer amtlich zugelassenen Einrichtung, einem amtlich zugelassenen Institut oder einem amtlich zugelassenen Zentrum stammen und für eine solche bzw. ein solches bestimmt sind
Ordnung Familie Gattungen/Arten
Artiodactyla Antilocapridae Antilocapra ssp.
Bovidae Addax ssp., Aepyceros ssp., Alcelaphus ssp., Ammodorcas ssp., Ammotragus ssp., Antidorcas ssp., Antilope ssp., Bison ssp., Bos ssp. (einschließlich Bibos, Novibos, Poephagus), Boselaphus ssp., Bubalus ssp. (einschließlich Anoa), Budorcas ssp., Capra ssp., Cephalophus ssp., Connochaetes ssp., Damaliscus ssp. (einschließlich Beatragus), Dorcatragus ssp., Gazella ssp., Hemitragus ssp., Hippotragus ssp., Kobus ssp., Litocranius ssp., Madoqua ssp., Naemorhedus ssp. (einschließlich Nemorhaedus und Capricornis), Neotragus ssp., Oreamnos ssp., Oreotragus ssp., Oryx ssp., Ourebia ssp., Ovibos ssp., Ovis ssp., Patholops ssp., Pelea ssp., Procapra ssp., Pseudois ssp., Pseudoryx ssp., Raphicerus ssp., Redunca ssp., Rupicapra ssp., Saiga ssp., Sigmoceros-Alecelaphus ssp., Sylvicapra ssp., Syncerus ssp., Taurotragus ssp., Tetracerus ssp., Tragelaphus ssp. (einschließlich Boocerus)
Camelidae Camelus ssp., Lama ssp., Vicugna ssp.
Cervidae Alces ssp., Axis-Hyelaphus ssp., Blastocerus ssp., Capreolus ssp., Cervus-Rucervus ssp., Dama ssp., Elaphurus ssp., Hippocamelus ssp., Hydropotes ssp., Mazama ssp., Megamuntiacus ssp., Muntiacus ssp., Odocoileus ssp., Ozotoceros ssp., Pudu ssp., Rangifer ssp.
Giraffidae Giraffa ssp., Okapia ssp.
Moschidae Moschus ssp.
Tragulidae Hyemoschus ssp., Tragulus-Moschiola ssp.


Tabelle 2
" SUI-A": Musterveterinärbescheinigung für Tiere der nachstehend aufgeführten Arten, die aus einer amtlich zugelassenen Einrichtung, einem amtlich zugelassenen Institut oder einem amtlich zugelassenen Zentrum stammen und für eine solche bzw. ein solches bestimmt sind
Ordnung Familie Gattungen/Arten
Artiodactyla Suidae Babyrousa ssp., Hylochoerus ssp., Phacochoerus ssp., Potamochoerus ssp., Sus ssp.
Tayassuidae Catagonus ssp., Pecari-Tayassu ssp.
Hippopotamidae Hexaprotodon-Choeropsis ssp., Hippopotamus ssp.


Tabelle 3
" TRE-A": Musterveterinärbescheinigung für Tiere der nachstehend aufgeführten Arten, die aus einer amtlich zugelassenen Einrichtung, einem amtlich zugelassenen Institut oder einem amtlich zugelassenen Zentrum stammen und für eine solche bzw. ein solches bestimmt sind
Ordnung Familie Gattungen/Arten
Perissodactyla Tapiridae Tapirus ssp.
Rhinocerotidae Ceratotherium ssp., Dicerorhinus ssp., Diceros ssp., Rhinoceros ssp.
Proboscidea Elephantidae Elephas ssp., Loxodonta ssp.

Teil 2

Muster RUM-A


Muster SUI-A


Muster TRE-A


Teil 3
Anforderungen an Einrichtungen, Institute oder Zentren in Drittländern

Einrichtungen, Institute oder Zentren in einem Drittland müssen folgenden Anforderungen entsprechen:

  1. Sie sind eindeutig abgegrenzt und von ihrer Umgebung abgetrennt;
  2. sie verfügen über geeignete Mittel zum Einfangen, Gefangenhalten und Isolieren von Tieren sowie über angemessene Quarantäneeinrichtungen und genehmigte Standardverfahren für Tiere unbekannter Herkunft;
  3. sie verfügen über eine vektorgeschützte Struktur, die folgenden Anforderungen genügt:
    1. sie ist an den Ein- und Ausgängen mit geeigneten physischen Barrieren ausgestattet;
    2. ihre Öffnungen sind vor Vektoren durch Maschendraht mit einer geeigneten Maschengröße abgeschirmt, der in regelmäßigen Abständen mit einem zugelassenen Insektizid entsprechend den Anweisungen des Herstellers imprägniert wird;
    3. innerhalb und im Umkreis der vektorgeschützten Struktur werden Vektorüberwachungs- und -bekämpfungsmaßnahmen durchgeführt;
    4. es werden Maßnahmen getroffen, um Brutstätten für Vektoren in der Nachbarschaft der vektorgeschützten Struktur zu begrenzen oder zu beseitigen;
    5. es gibt Standardverfahren, einschließlich Beschreibungen der Notfall- und Alarmsysteme, für den Betrieb der vektorgeschützten Struktur und den Abtransport der Tiere aus dieser Struktur zum Verladeort;
  4. sie bewahren mindestens zehn Jahre lang aktuelle Protokolle mit folgenden Informationen auf:
    1. Zahl und Identität (Alter, Geschlecht, Art und gegebenenfalls individuelle Kennnummer) der an ihrem Standort befindlichen Tiere, aufgeschlüsselt nach Arten;
    2. Zahl und Identität (Alter, Geschlecht, Art und gegebenenfalls individuelle Kennnummer) der Tiere, die an ihrem Standort eintreffen oder diesen verlassen, zusammen mit Angaben zu deren Herkunfts- oder Bestimmungsort, den Transportmitteln und dem Gesundheitsstatus der Tiere;
    3. die Ergebnisse der Bluttests oder sonstiger Diagnoseverfahren, denen die Tiere an ihrem Standort unterzogen wurden;
    4. Krankheitsfälle, gegebenenfalls mit Angaben zur durchgeführten Behandlung;
    5. Obduktionsbefunde der Tiere, die an ihrem Standort verendet sind, einschließlich tot geborener Tiere;
    6. Beobachtungen während der Isolation oder Quarantäne;
  5. sie waren zumindest die letzten drei Jahre frei von den in Anhang a der Richtlinie 92/65/EWG aufgeführten Krankheiten oder den in den Veterinärbescheinigungen in Anhang VI Teil 2 der vorliegenden Verordnung für die relevanten Arten genannten Krankheiten, wie die gemäß Buchstabe d geführten Protokolle und die Ergebnisse der klinischen Tests und Laboruntersuchungen an den Tieren ihres Standorts zeigen;
  6. sie haben entweder eine vertragliche Regelung mit einem von der zuständigen Behörde für Obduktionen zugelassenen Labor, oder sie verfügen über eine oder mehrere geeignete Einrichtungen, in denen diese Untersuchungen unter der Leitung des zugelassenen Tierarztes/der zugelassenen Tierärztin vorgenommen werden können;
  7. sie tragen Sorge für die Beseitigung der Körper von Tieren, die an einer Krankheit verenden oder eingeschläfert werden;
  8. sie gewährleisten - durch einen Vertrag oder ein Rechtsinstrument - die Dienstleistungen eines Tierarztes/einer Tierärztin, der/die von der zuständigen Behörde zugelassen wurde und unter deren Aufsicht handelt, wobei er/sie zumindest folgende Aufgaben wahrzunehmen hat:
    1. Er/sie stellt sicher, dass in der betreffenden Einrichtung, dem betreffenden Institut oder dem betreffenden Zentrum geeignete Seuchenüberwachungs- und -bekämpfungsmaßnahmen durchgeführt werden. Derartige Maßnahmen müssen von der zuständigen Behörde des Drittlandes, Gebiets oder Teils des Drittlandes, in dem sich die Einrichtung, das Institut oder das Zentrum befindet, unter Berücksichtigung der Seuchenlage genehmigt werden und mindestens folgende Elemente umfassen:
      • einen Jahresplan zur Seuchenüberwachung einschließlich geeigneter Bekämpfungsmaßnahmen hinsichtlich Zoonosen der am Standort befindlichen Tiere,
      • klinische Tests, Laboruntersuchungen und Obduktionen bei Tieren mit Verdacht auf übertragbare Krankheiten und Zoonosen,
      • Impfung empfänglicher Tiere gegen Infektionskrankheiten und Zoonosen.
    2. Er/sie stellt sicher, dass verdächtige Todesfälle oder etwaige andere Symptome, die darauf schließen lassen, dass Tiere von einer oder mehreren der in Anhang a der Richtlinie 92/65/EWG aufgeführten Krankheiten oder der in den Veterinärbescheinigungen in Anhang VI Teil 2 der vorliegenden Verordnung für die relevanten Arten genannten Krankheiten befallen sind, unverzüglich der zuständigen Behörde gemeldet werden, wenn die betreffende Krankheit in dem Drittland, Gebiet oder Teil eines Drittlands meldepflichtig ist.
    3. Er/sie stellt sicher, dass eintreffende Tiere wie erforderlich, entsprechend den Anweisungen der zuständigen Behörde, unter Quarantäne gestellt wurden.
    4. Er/sie stellt die Einhaltung der Gesundheitsanforderungen sicher, denen die Tiere entsprechen müssen, damit sie in die Union verbracht werden dürfen.

Teil 4
Bedingungen hinsichtlich der amtlichen Zulassung von Einrichtungen, Instituten oder Zentren in Drittländern

  1. Eine amtliche Zulassung darf nur solchen Einrichtungen, Instituten oder Zentren erteilt werden, die den Anforderungen in Teil 3 entsprechen.
  2. Ist ein Vektorschutz erforderlich, so darf die Zulassung einer Struktur als vektorgeschützt nur dann erteilt werden, wenn die Kriterien in Teil 3 Buchstabe c erfüllt sind. Zum Zweck der Erteilung der Zulassung überprüft die zuständige Behörde mindestens dreimal im vorgeschriebenen Schutzzeitraum (am Anfang, während und am Ende des Zeitraums) die Wirksamkeit der Vektorschutzmaßnahmen mit Hilfe einer innerhalb der vektorgeschützten Struktur angebrachten Vektorfalle.
  3. Jeder amtlich zugelassenen Einrichtung, jedem amtlich zugelassenen Institut und jedem amtlich zugelassenen Zentrum ist eine Zulassungsnummer zuzuteilen.
  4. Die Zulassung darf nur aufrechterhalten werden, solange folgende Bedingungen erfüllt sind:

    Der Standort unterliegt der Aufsicht eines amtlichen Tierarztes/einer amtlichen Tierärztin, der/die zumindest folgende Aufgaben wahrzunehmen hat:

    1. Er/sie inspiziert die Einrichtung, das Institut oder das Zentrum mindestens einmal jährlich;
    2. er/sie überprüft die Tätigkeit des Tierarztes/der Tierärztin gemäß Teil 3 Buchstabe h und die Umsetzung des Jahresplans zur Seuchenüberwachung gemäß Buchstabe h Ziffer i erster Gedankenstrich;
    3. er/sie trägt dafür Sorge, dass die Bestimmungen der Teile 3 und 4 erfüllt werden;
    4. er/sie stellt sicher, dass
      • die Gesundheitsanforderungen eingehalten werden, denen die Tiere entsprechen müssen, damit sie in die Union verbracht werden dürfen;
      • bei den klinischen Tests, Laboruntersuchungen und Obduktionen an den Tieren keine der in Anhang a der Richtlinie 92/65/EWG aufgeführten Krankheiten oder der in den Veterinärbescheinigungen in Anhang VI Teil 2 der vorliegenden Verordnung für die relevanten Arten genannten Krankheiten nachgewiesen wurde.
  5. Die Zulassung ist zu widerrufen, wenn die zuständige Behörde feststellt, dass die Anforderungen des Teils 3 nicht mehr erfüllt sind.
  6. Wird ein Verdacht auf das Auftreten einer oder mehrerer der in Anhang a der Richtlinie 92/65/EWG aufgeführten Krankheiten oder der in den Veterinärbescheinigungen in Anhang VI Teil 2 der vorliegenden Verordnung für die relevanten Arten genannten Krankheiten gemeldet, so hat die zuständige Behörde die amtliche Zulassung der Einrichtung, des Instituts oder des Zentrums so lang auszusetzen, bis der Verdacht offiziell ausgeräumt ist. Je nach Krankheit und Übertragungsrisiko kann die Aussetzung die gesamte Einrichtung, das gesamte Institut oder das gesamte Zentrum oder nur bestimmte Kategorien seuchenempfänglicher Tiere betreffen. Die zuständige Behörde hat sicherzustellen, dass die zur Bestätigung oder Ausräumung des Verdachts und zur Vermeidung einer Krankheitsausbreitung erforderlichen Maßnahmen ergriffen werden.
  7. Wird der in Nummer 6 genannte Krankheitsverdacht bestätigt, so ist die amtliche Zulassung der Einrichtung, des Instituts oder des Zentrums zu widerrufen.
  8. Wurde die Zulassung einer Einrichtung, eines Instituts oder eines Zentrums widerrufen, so darf sie nur dann erneuert werden, wenn folgende Bedingungen erfüllt sind:
    1. Die Krankheit und die Infektionsquelle wurden am Standort der Einrichtung, des Instituts oder des Zentrums getilgt;
    2. der Standort der Einrichtung, des Instituts oder des Zentrums wurde in geeigneter Weise gereinigt und desinfiziert;
    3. die Einrichtung, das Institut oder das Zentrum entspricht den Anforderungen gemäß Teil 3 Buchstaben a bis d und f bis h.
  9. Die zuständige Behörde, die der Einrichtung, dem Institut oder dem Zentrum eine amtliche Zulassung erteilt hat, informiert die Mitgliedstaaten, welche die Einrichtung, das Institut oder das Zentrum in ihre Listen der amtlich zugelassenen Einrichtungen, Institute oder Zentren aufgenommen haben, über die Aussetzung, den Widerruf oder die Erneuerung dieser Zulassung.
ENDE

umwelt-online - Demo-Version


(Stand: 19.04.2021)

Alle vollständigen Texte in der aktuellen Fassung im Jahresabonnement
Nutzungsgebühr: ab 105.- € netto

(derzeit ca. 7200 Titel s.Übersicht - keine Unterteilung in Fachbereiche)

Preise & Bestellung

Die Zugangskennung wird kurzfristig übermittelt

? Fragen ?
Abonnentenzugang/Volltextversion